Free Access

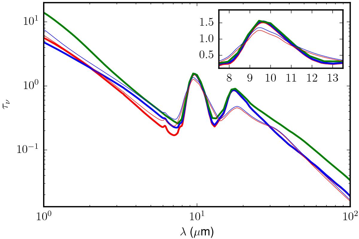
Fig. 4

image

Derived optical depth of the foreground extinction, for different types of carbonaceous grains and size distributions. The thick red and blue curves utilize the Milky-Way size distributions from Weingartner & Draine (2001) for the RV = 3.1 and RV = 5.5 extinction laws, respectively, using PAH and graphite grains. The thick green curve utilizes the MRN size distribution with graphite grains. All three curves include the silicate contribution derived by Boley et al. (2013). For comparison, the synthetic extinction curves of Weingartner & Draine (2001), which differ in their silicate content, are shown as thin red (RV = 3.1) and blue (RV = 5.5) curves.

Current usage metrics show cumulative count of Article Views (full-text article views including HTML views, PDF and ePub downloads, according to the available data) and Abstracts Views on Vision4Press platform.

Data correspond to usage on the plateform after 2015. The current usage metrics is available 48-96 hours after online publication and is updated daily on week days.

Initial download of the metrics may take a while.