Free Access

Fig. 1

image

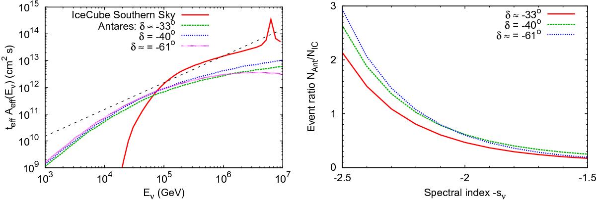
Left: relative exposures of the ANTARES CLS (Adrián-Martínez et al. 2012) to a flavour-uniform neutrino flux from the characteristic declinations of the six candidate blazars, and the southern-sky-average of the IceCube HESE analysis (Aartsen et al. 2014) (exposures from IceCube Collaboration 2013). The black dashed line, included for reference, is proportional to Eν. Right: expected number of ANTARES events per detected IceCube event for power-law spectra (Eq. (1)) as a function of the neutrino spectral index sν, calculated using the relative exposures.

This figure is made of several images, please see below:

Current usage metrics show cumulative count of Article Views (full-text article views including HTML views, PDF and ePub downloads, according to the available data) and Abstracts Views on Vision4Press platform.

Data correspond to usage on the plateform after 2015. The current usage metrics is available 48-96 hours after online publication and is updated daily on week days.

Initial download of the metrics may take a while.