Free Access

Fig. 11

image

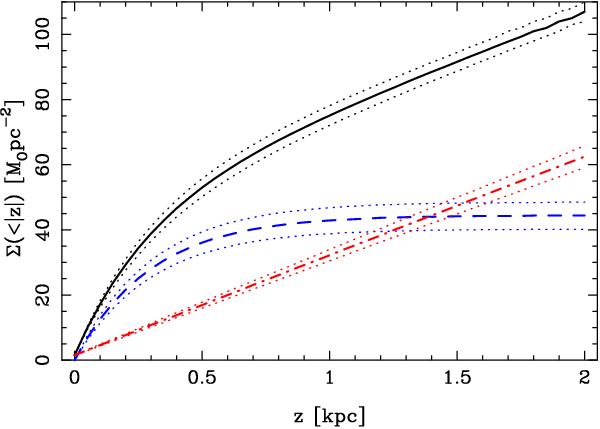
Total surface mass density (black continous line) at R0 split in a DM spherical component (red dashed line) and in a baryonic double exponential disc (blue dash-dotted line). Dotted lines are 1σ error intervals.

Current usage metrics show cumulative count of Article Views (full-text article views including HTML views, PDF and ePub downloads, according to the available data) and Abstracts Views on Vision4Press platform.

Data correspond to usage on the plateform after 2015. The current usage metrics is available 48-96 hours after online publication and is updated daily on week days.

Initial download of the metrics may take a while.