Highlight
Free Access

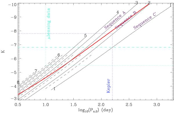
Fig. 12

thumbnail

Synthetic PL relations as proposed in Fig. 10, but calibrated in K magnitude. Dipole modes (dashed lines) are included for observed large separations down to 0.1 μHz. PL relations have been extrapolated towards bright magnitudes and long periods. The dotted lines delimit the region of Kepler observations with νmax ≥ 0.15 μHz, and of OGLE observations with νmax ≤ 0.6 μHz. Sequences A, B, and C’ identified at high luminosity by S07 are indicated.

Current usage metrics show cumulative count of Article Views (full-text article views including HTML views, PDF and ePub downloads, according to the available data) and Abstracts Views on Vision4Press platform.

Data correspond to usage on the plateform after 2015. The current usage metrics is available 48-96 hours after online publication and is updated daily on week days.

Initial download of the metrics may take a while.