Free Access

Fig. 13

thumbnail

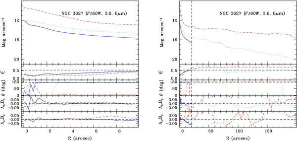
The upper panels show radial surface brightness profiles of NGC 3627 made by fitting elliptical isophotes. The left panel shows a smaller FOV than the right panel. The solid (blue) line corresponds to HST F160W, the dotted (green) line to IRAC 3.6  μm, and the dashed (red) line to the IRAC 8  μm. The lower panels display the radial runs of ellipticity ϵ, position angle θ, and cos(4θ) terms in the ellipse fitting residuals. The adopted PA (178°, see Sect. 4.4) and the best-fit inclination (61.3°) are shown by dashed horizontal lines in the lower panels. The dashed vertical line shows a radius of 1 kpc (204).

This figure is made of several images, please see below:

Current usage metrics show cumulative count of Article Views (full-text article views including HTML views, PDF and ePub downloads, according to the available data) and Abstracts Views on Vision4Press platform.

Data correspond to usage on the plateform after 2015. The current usage metrics is available 48-96 hours after online publication and is updated daily on week days.

Initial download of the metrics may take a while.