Up: Water emission in NGC 1333-IRAS 4
Subsections
3 Line modeling
3.1 Origin of the FIR line emission
The molecular emission (H2O, CO and OH) observed toward IRAS 4 can
have at least three different origins: the two outflows powered by
IRAS 4A and IRAS 4B, the PDR at the surface of the cloud, and the
collapsing envelopes around the two protostars. The origin of the
molecular line emission can be disentangled when the spatial
distribution of the line emission and/or the line profiles are
available. For example, lines arising in the envelope or in the
molecular cloud have narrow profiles whereas lines arising from
outflows show broadened profiles with extended wings. Unfortunately,
in the case of the ISO-LWS observations, the relatively low spatial
and spectral resolution do not allow to observationally disentangle
the different components. However, the comparison between the central
and the NE-red and SW-blue positions allows a first guess of the
origin of the observed emission. The [OI] and [CII] lines have
comparable line fluxes in the three observed positions. For this
reason it is likely that the observed [OI] and [CII] emission is
associated with the ambient diffuse gas, either emitted in the PDR or
in the molecular cloud itself. On the contrary, only the lowest lying
(
)
CO lines are detected on the NE-red position,
while no H2O or CO emission is clearly detected on the SW-blue
position. On the other hand, the observations of the CO 3-2 line show
that the high velocity gas (the fastest outflow component) peaks at
the NE-red and SW-blue positions (Blake et al. 1995). The lack of water
emission in these two outflow peak positions is not in favor of the
hypothesis that the on-source water emission originates in the
outflow. Although we cannot exclude a different origin and/or
contamination for example from the densest parts of the outflow
located in the ISO beam, in the following we explore the hypothesis of
the envelope thermal emission and interpret the observed water line
emission according to the CHT96 model. The first goal of our modeling
is to verify that the thermal emission from the surrounding envelope
can reproduce the water line observations, a necessary condition even
though not sufficient to test this hypothesis. A following section
will then address the possible origin of the CO and OH observed
emission.
The CHT96 model computes in a self-consistent way the radiative
transfer, thermal balance, and chemistry of the main gas coolants
(i.e. O, CO and H2O) across the envelope, in the inside-out
framework (Shu 1977). Here we give a brief description of the main
aspects of the model.
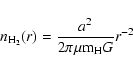
The initial state of the envelope is assumed to be an isothermal
sphere in hydrostatic equilibrium, which density is given by:
 |
(1) |
where a is the sound speed,
is the hydrogen mass,
is
the mean molecular mass, r the distance from the center and G the
gravitational constant.
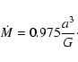
At t = 0 the equilibrium is perturbed and the collapse starts from
inside out, propagating with the sound speed. The density in the inner
collapsing region is given by the free-fall solution:
 |
(2) |
where M* is the star mass,
is the accretion rate,
related to the sound speed by:
 |
(3) |
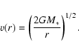
The free-fall velocity is given by:
 |
(4) |
The gravitational energy is released as material falls at the core
radius R*, so that the luminosity of the protostar is:
 |
(5) |
In the following L* is the bolometric luminosity of IRAS 4, and we
leave M* and
as free parameters.
The radiative transfer in the envelope is solved in the escape
probability approximation in presence of warm dust, following the
Takahashi et al. 1983 formalism. The CHT96 model assumes that the
initial chemical composition is that of a molecular cloud, and then it
solves the time dependent equations for the chemical composition of 44
species, as the collapse evolves. H2O, CO and O are of particular
importance since they are the main coolants of the gas, and hence we
study the chemistry of these species in detail. The CO molecule is
very stable, and its abundance results constant across the envelope.
H2O is mainly formed by dissociative recombination of the
H3O+ in the cold outer envelope, while, at dust temperature
above 100 K, icy grain mantles evaporate, injecting large amounts of
water into the gas phase. When the gas temperature exceeds
250 K, the H2O formation is dominated by the endothermic reactions O +
H
OH + H followed by H2 + OH
H2O + H, which
transform all the oxygen not locked in CO molecules into H2O.
From the above equations and comments, the water line emission depends
on the mass of the central object, the accretion rate and the
abundance of H2O in the outer envelope and in the warm region,
where its abundance is dominated by the mantle evaporation. All these
quantities directly enter into the H2O line emission, and
specifically into the determination of the H2O column density. In
fact, the accretion rate sets the density across the protostellar
region (Eqs. (1) and (2)).
The central mass of the protostar affects the velocity field, and
hence indirectly the line opacity (Eq. (4)). This
parameter also sets the density in the free-fall region
(Eq. (2)) and therefore the gas column density in
this region. The water emission also depends indirectly on the O and
CO abundances, which enter in the thermal balance and hence in the gas
temperature determination. Several recent studies
(Baluteau et al. 1997; Caux et al. 1999b; Vastel et al. 2000; Lis et al. 2001) have shown that almost the totality of the
oxygen in molecular clouds is in atomic form. Accordingly, we assume
the oxygen abundance to be the standard interstellar value, i.e.
with respect to H2. With regard to the CO
abundance, following Blake et al. 1995 we adopt a CO abundance of
10-5 with respect to H2, lower than the standard abundance
as this molecule is believed to be depleted on IRAS 4. We will comment
later on the influence of these parameters on our results. Finally,
the water abundance in the cold and in the warm parts of the envelope
are poorly known and are free parameters in our study.
To summarize, we applied the CHT96 model to IRAS 4, and to reproduce
the observations we varied the four following parameters: the mass of
the central object M*, the accretion rate
,
the water
abundance in the outer cold envelope
,
and the water abundance in
the region of mantle evaporation
.
The principal limitation to
the application of this model to IRAS 4 is that the ISO beam includes
both IRAS 4A and IRAS 4B envelopes. As a first approximation, we
assumed that the two envelopes contribute equally to the molecular
emission. Finally we assumed that the two envelopes touch each other,
namely they have a radius of 3000 AU (i.e. 30'' in diameter), in
agreement with millimeter continuum observations (Motte & André 2001). In
our computations we adopted a distance of 220 pc in agreement with
JSD02 and a luminosity of 5.5
for each
protostar, according to Sandell et al. (1991) when assuming such a
distance.
In order to constrain the mass, accretion rate and water abundance
across the envelope, we run several models varying the central mass
from 0.3 to 0.8
,
the accretion rate from 10-5 to
10-4
,
the water abundance in the outer parts of the
envelope
between 10-7 and 10-6, and a water abundance
in the inner parts of the envelope
between 10-6 and
respectively. In the following we discuss the results
of this modeling.
One of the difficulties in constraining the central mass, accretion
rate and water abundance in the envelope is that the water line
intensity a priori depends on all the parameters. However, choosing
appropriate lines can help constraining one parameter at once. Low
lying H2O lines are expected to rapidly become optically thick in
the outer envelope, where they are easily excited. Hence these lines
depend weakly on
and M* (which affect the line emission in
the collapsing inner region). We therefore used the low-lying lines
to constrain the other two parameters, namely
and
.
For
this we minimized the
obtained considering only water lines
having a
lower than 142 cm-1, and where
is the
error associated with each line flux. Figure 2 shows the
surface as a function of
and
for M* = 0.5
.
We obtained a similar plot for M* = 0.3
and the result is basically the same. As suspected, the chosen lines
constrain relatively efficiently the two parameters
and
.
The minimum
is obtained for a water abundance
and an accretion rate
.
![\begin{figure}
\par\includegraphics[width=8.8cm,clip]{2736f2.eps} \end{figure}](/articles/aa/full/2002/44/aa2736/Timg80.gif) |
Figure 2:
surface as function of the water abundance in
the outer envelope
and the mass accretion rate .
The
has been obtained considering the lines with an
upper level energy
lower than 142 cm-1 and for a
central mass of 0.5
. |
We then constrained the central mass M* and the abundance in the
innermost parts of the envelope
using the high-lying lines. In
fact to be excited, these lines require relatively high temperatures
and densities which are likely to be reached only in the innermost
parts of the envelope. Their intensities depend hence on the water
abundance
in these parts and on the central mass M*. The
surface as function of these two parameters is shown in
Fig. 3, obtained considering the lines having an upper level
energy
larger than 142 cm-1, and assuming
=
and
=
.
In this case the
has a minimum around M* = 0.5
and
=
.
Specifically, if we adopt a constant H2O abundance of
(
)
across the entire envelope, the model
predicts intensities a factor between two and five lower than those
observed (high lying lines, i.e. with
K). In other
words, the observed emission can only be accounted for if a jump in
the water abundance is introduced when the dust temperature exceeds
100 K, the sublimation temperature of icy mantles. This jump has to
be larger than about a factor 10.
![\begin{figure}
\par\includegraphics[width=8.8cm,clip]{2736f3.eps}
\end{figure}](/articles/aa/full/2002/44/aa2736/Timg82.gif) |
Figure 3:
surface as function of the central mass M* and water abundance in the innermost parts of the envelope
.
The
has been obtained considering the lines with an
upper level energy
larger than 142 cm-1 and assuming =
and
=
.
Note
that we did not include the 82 and 99.5 m lines, which
seems underestimated by our model (see text). We did not
include the 113 m line either, because of the blending with
the CO
line, which makes the estimate of the flux
rather uncertain. |
Assuming two identical envelopes, the best fit model is obtained with a
central mass of 0.5
,
accreting at
(Table 2).
Assuming a constant accretion rate, this gives an age of 10 000 years,
close to the dynamical age of the outflows. The abundance of water in
the outer parts of the envelope is
and it is
enhanced by a factor 10 in the innermost regions of the envelope,
where grain mantles evaporate. Figure 4 shows the ratio
between the observed and predicted line fluxes as function of the
upper level energy of the transition. The model reproduces reasonably
well the observed water emission, with the exception of the lines at
99.5
m and 82.0
m that seems to be underestimated (by a
factor 10) by our model.Since, on the contrary, lines in a comparable
range of
are well reproduced by our model, we think that this
discrepancy is likely due to a rough baseline removal. Specifically,
the estimate of both the 99.5 and 82.0
m line fluxes may suffer
of an incorrect baseline removal, as the lines lie on the top of a
strong dust feature, which covers the 80-100
m range (Ceccarelli et al. in preparation). Higher spectral resolution
observations are required to confirm this explanation. Finally some
unexplained discrepancy between the model and the observations may
exist at the higher values of
.
![\begin{figure}
\par\includegraphics[width=8.8cm,clip]{2736f4.eps} \end{figure}](/articles/aa/full/2002/44/aa2736/Timg90.gif) |
Figure 4:
Ratio between the line fluxes predicted by our best fit
model and observed ones as function of the upper level energy of
the transition
.
Triangles represent ortho H2O
transitions, and squares represent para H2O transitions.
Note that the model assumes an ortho to para ratio equal to 3.
|
In the figure we also report different symbols for the ortho and para
water transitions respectively. In our model we assumed that this
ratio is equal to 3. The comparison between the observations and
predictions is consistent with this assumption. Plots of the predicted
intensity of various lines as function of the radius are reported in
Fig. 5. Finally, the envelope model predicts an
intensity of
erg s-1 cm-2 and a
linewidth of
1 km s-1 for the ground water line at 557
GHz, equivalent to an antenna temperature of 30 mK in the SWAS
beam (
4'). SWAS detected a
mK line, which linewidth
is
18 km s-1, and self-absorbed at the rest velocity (Bergin et al. 2002). The observed line is undoubtedly dominated by the outflow
emission, and only a small fraction of its intensity can be attributed to
the envelope emission, in agreement with our model predictions.
![\begin{figure}
\par\includegraphics[width=8.8cm,clip]{2736f5.eps} \end{figure}](/articles/aa/full/2002/44/aa2736/Timg93.gif) |
Figure 5:
Predicted intensity of various lines as function
of the radius. The upper panel shows the water lines at 179 m (solid line), 108 m (dotted line), 75 m (dashed
line) and 82 m (dash-dotted line). The lower panel shows the
CO
(solid line), CO
(dashed line) and C18O
(dash-dotted line). |
[OI] 63
m and [CII] 157
m emission is widespread, and
probably associated with the cloud. A plausible explanation is that
the two lines are emitted in the PDR resulting from the UV and/or
X-ray illumination of this cloud from the several young stars that it
harbors. The comparison of the observed fluxes with the model by
Kaufman et al. (1999) suggests a PDR with a density of about 104 cm-3 and a incident FUV of
5 G0. This PDR would
account for the total observed flux of the [CII] 157
m line and
OI. The parameters we derive are in agreement with those quoted by
Molinari et al. (2000), who studied the region around SVS13.
The thermal emission from the envelope predicts no C+ emission, of
course, as no source of ionization is considered in the CHT96 model.
The atomic oxygen, on the contrary, is present all along the envelope
and it is predicted to emit
erg s-1 cm-2. This is similar to the observed [OI] 63
m flux. The
fact that we do not see any [OI] 63
m enhancement towards the
source with respect to the surroundings can be explained if IRAS 4 is
well embedded in the parental cloud. Being the ground transition, the
[OI] 63
m line is relatively easily optically thick, and an
emission from an embedded source can be totally absorbed by the
foreground material (Poglitsch et al. 1996; Baluteau et al. 1997; Caux et al. 1999b; Vastel et al. 2000).
Finally, our model predicts OH and CO
line fluxes
more than ten times lower than those observed. Note that the FIR CO
lines predicted by the CHT96 model are optically thick and not
sensitive to the adopted abundance, and therefore increasing the CO
abundance would not change the result. An extra heating mechanism is
evidently responsible for the excitation of the FIR CO lines observed
in the central position. Shocks have been invoked in the literature
(e.g. Ceccarelli et al. 1998; Nisini et al. 1999; Giannini et al. 2001), but this
hypothesis has its own drawbacks and flaws (see Introduction).
Another possibility is that the FIR CO lines are emitted in a
superheated layer of gas at the surface of a flaring disk, as seen in
the protostar El 29 (Ceccarelli et al. 2002), and/or at the inner
interface of the envelope itself (Ceccarelli, Hollenbach, Tielens et al. in preparation). In the first case (disk surface), the gas is
"super-heated'' because the grain absorptivity in the visible exceeds
the grain emissivity in the infrared (e.g. Chiang & Goldreich 1997). In the
latter case (envelope inner interface) the extra heating is provided
by the X-ray photons from the central source. A full discussion
about the FIR CO emission origin is beyond the scope of this article
and we refer the interested reader to the above mentioned articles.
Up: Water emission in NGC 1333-IRAS 4
Copyright ESO 2002