A&A 485, 315-325 (2008)
DOI: 10.1051/0004-6361:20078255

Nonlinear cooling of relativistic particles under equipartition conditions

II. Instantaneous power law injection[*]

R. Schlickeiser - I. Lerche

Institut für Theoretische Physik, Lehrstuhl IV: Weltraum- und Astrophysik, Ruhr-Universität Bochum, 44780 Bochum, Germany

Received 11 July 2007 / Accepted 20 March 2008

Abstract
Aims. In powerful cosmic nonthermal radiation sources with dominant magnetic-field self generation, the plasma physical processes generating these magnetic fields by relativistic plasma instabilities are closely related to the processes energising ultra-high energy radiating electrons in these sources. Then the magnetic field strength becomes time-dependent and adjusts itself to the actual kinetic energy density of the radiating electrons. As a consequence, the synchrotron radiation cooling of individual relativistic electrons exhibits a nonlinear behaviour because of the dependence of the magnetic energy density on the actual time-varying kinetic energy density.
Methods. The nonlinear kinetic equation for the intrinsic temperoral evolution of relativistic electrons is solved for the case of instantaneous injection of power-law distributed electrons.
Results. The properties of the resulting approximate, nonlinear electron density show significant differences compared to the standard linear solution for constant non-equipartition magnetic-field energy density as, for instance, the different time behaviour of the upper and lower cut-offs of the electron distribution. Also the differential electron fluence as a function of electron energy differs from the linear fluence. For large spectral indices s>2 of the injected power law, the nonlinear fluence exhibits a weaker break at the lower injected electron cut-off $\gamma_1$ than the linear fluence. For small spectral indices 1<s<2, the nonlinear fluence shows no break at all and approaches a ${\propto}\gamma ^{-3}$ power law at all energies below $\gamma_2/2$.
Conclusions. For electron radiation processes not subject to equipartition conditions, such as inverse Compton scattering of ambient photon gases and relativistic bremsstrahlung, the energy dependences of the electron number density and the electron fluence can be directly used to infer the frequency dependence of the fluxes and fluences of the generated photons. For steep (spectral index s>2) injected power laws, the nonlinear synchrotron fluence at low frequencies approaches a power law ${\propto}\nu ^{-0.6}$, independent of the value of s, which is identical to the synchrotron fluence behaviour from monoenergetically injected relativistic electrons.

Key words: galaxies: active - radiation mechanisms: non-thermal - ISM: cosmic rays

1 Introduction

Simplified homogenous one-zone models for the relativistically moving emission regions in the jets of active galactic nuclei and gamma-ray burst afterglows are remarkably successful in quantitatively reproducing the observed broadband nonthermal photon spectra. In the standard model for blazars, nonthermal synchrotron emission is radiated by electrons accelerated by Fermi-type processes to ultrarelativistic Lorentz factors. These electrons also Compton-scatter all ambient radiation fields, including the internal synchrotron field (Maraschi et al. 1992; Bloom & Marscher 1996; Tavecchio et al. 1998) and the external radiation fields traversed by the jet (Melia & Königl 1989; Dermer & Schlickeiser 1993; Sikora et al. 1994; Arbeiter et al. 2005). The intensities of the individual radiation components depend on the properties of the radiation fields, the properties of the relativistic outflows, and the time-dependent spectral injection of electrons into the outflow. The evolving energy distribution of the radiating electrons is obtained by solving a continuity kinetic equation balancing the competition of injection, escape, and energy loss processes. The numerical modelling of the observed spectral energy distributions (Dermer & Schlickeiser 2002; Böttcher & Chiang 2002) provides the best agreement if equipartition conditions are taken between the energy densities of magnetic fields ( $U_B=B^2/8\pi$) and relativistic electrons  $U_{\rm e}(t)=\int _0^\infty {\rm d}p \gamma m_{\rm e} c^2 N(p,t)$.

Similar equipartition arguments have been made in the nonthermal radiation models for gamma-ray burst afterglows (Meszaros & Rees 1993, 1997; Paczynski & Rhoads 1993; Frail et al. 2000). The cosmological fireball model adopts a spherical blast wave expanding adiabatically into a homogeneous medium. It is assumed that a fixed fraction  $\epsilon _{\rm e}$ of the blast-wave energy E0 goes into accelerating a power law distribution of electrons above a lower ultrarelativistic cut-off $\gamma _m$. In the presence of a magnetic field, which itself is a fixed fraction  $\epsilon _B$ of the energy density of the blast wave, the electrons emit synchrotron radiation. The ratio  $\epsilon _B/\epsilon _{\rm e}$ of the fixed fractions thus reflects the equipartition condition in the emission region (Sari et al. 1998; Frail et al. 2000; Van der Horst et al. 2008).

Recently we have noted (Schlickeiser & Lerche 2007 - hereinafter referred to as SL) that this generation of magnetic fields at almost equipartition strength by relativistic plasma instabilities operates as fast as the acceleration or injection of ultra-high energy radiating electrons in these sources (especially in powerful nonthermal radiation sources). At least initially, the magnetic field strength then becomes time-dependent and adjusts to the actual kinetic energy density of the radiating electrons in these sources. Here we assume that the magnetic field strength is tied by a fixed partition ratio eB to the kinetic energy density of the radiating relativistic electrons. As the relativistic particles cool by their radiative synchrotron losses, the magnetic field will decay accordingly. Although there is no obvious physical justification for this partition behaviour, the success of the radiation modelling of jets of active galactic nuclei and gamma-ray burst afterglows with incorporated partition behaviour justifies exploring the physical consequences of this observational finding.

The coupling of the magnetic field energy density to the energy of the radiating particles changes both the synchrotron emissivity and the intrinsic temporal evolution of the relativistic electron energy spectrum after injection. Nonlinear cooling of electrons is potentially important in flaring high-energy blazar sources, such as PKS 2155-304 (Aharonian et al. 2007), because it allows an observational distinction of time-dependent electron photon emissivities (by synchrotron and inverse Compton emission) against hadronic photon emissivities (from neutral pion decay). As discussed in Schlickeiser (2008), the observed TeV fluence spectrum from the 29-30 July outburst of PKS 2155-304 is reproduced rather well by the synchrotron self-Compton radiation from nonlinearly cooling relativistic electrons. Synchrotron losses of hadrons are negligibly small so that hadrons and their radiation products will not exhibit the nonlinear cooling behaviour.

SL illustrated the nonlinear cooling effect and its differences to the linear cooling behaviour for the case of instantaneous injection of monoenergetic ultrarelativistic electrons. Here we consider the case of instantaneous injection of power-law distributed electrons into a physical system where equipartition conditions hold between the energy densities of magnetic fields ( $U_B=B^2/8\pi$) and relativistic electrons,

 \begin{displaymath}U_{\rm e}(t)=\int _0^\infty {\rm d}p \gamma m_{\rm e}c^2 N(p,t)
,
\end{displaymath} (1)

i.e. constant values of the equipartition parameter ${\rm e}_B=U_B(t)/U_{\rm e}(t)$. Consequently, the magnetic field strength becomes time-dependent

 \begin{displaymath}B(t)=\sqrt{8\pi {\rm e}_BU_{\rm e}(t)}
,
\end{displaymath} (2)

adjusting to the actual kinetic energy density of the radiating particles. The consequences are twofold:

(1)
because the magnetic field strength (2) is time-dependent, the synchrotron photon emissivity and fluence will be modified as compared to the standard constant magnetic field case;

(2)
the synchrotron radiation cooling of individual relativistic electrons exhibits a nonlinear behaviour because the magnetic energy density UB(t) entering the synchrotron energy-loss rate now depends on the kinetic energy density of the radiating particles, which, according to Eq. (1), is an integral over the electron differential spectral density.
After identifying the basic equations we highlight the differences of the electron equilibrium energy spectra by solving the time-dependent volume-averaged kinetic equations under linear ( $U_B={\rm const.}$ and $B={\rm const.}$) and nonlinear (UB(t) and B(t)) equipartition conditions, respectively. In each case we calculate the differences in the produced time-dependent synchrotron radiation spectra and synchrotron fluences.

2 Basic kinetic equation

All physical quantities are calculated in a coordinate system comoving with the radiation source. The energy loss rate of relativistic electrons due to synchrotron radiation in a large-scale random magnetic field is

 \begin{displaymath}\vert\dot{\gamma }\vert={4\over 3}{c\sigma _{\rm T}\over m_{\rm e} c^2}U_B \gamma ^2
\end{displaymath} (3)

where $\gamma $ is the electron Lorentz factor, c denotes the speed of light, and $\sigma _{\rm T}=6.65\times 10^{-25}$ cm2 is the Thomson cross-section.

We consider the instantaneous injection of power-law distributed ultrarelativistic electrons at the rate

 \begin{displaymath}Q(\gamma ,t)=q_0\gamma ^{-s}\delta (t),~~\; 1\ll \gamma _1\le \gamma \le \gamma _2
\end{displaymath} (4)

at time t=0 with a constant value of the power-law spectral index s. The competition between this instantaneous injection rate and the electron synchrotron energy losses is described by the time-dependent kinetic equation for the volume-averaged relativistic electron population inside the radiating source (Kardashev 1962):

 \begin{displaymath}{\partial n(\gamma ,t)\over \partial t} -
{\partial \over \pa...
...ft\vert\dot{\gamma}\right\vert n(\gamma,t)\right]=Q(\gamma ,t)
\end{displaymath} (5)

where $n(\gamma ,t)$ is the volume-averaged differential number density. Throughout, we consider ultrarelativistic electrons ( $\gamma\gg1$) so that the relation $p\simeq m_{\rm e} c\gamma $ is appropriate, implying the relation $N(p,t)=n(\gamma ,t)/m_{\rm e} c$ between the respective differential electron densities. The kinetic energy density in relativistic electrons then is $U_{\rm e}(t)=m_{\rm e} c^2\int_0^\infty {\rm d}\gamma \gamma n(\gamma, t)$. When illustrating our results in the following, we use as variable the normalised Lorentz factor

 \begin{displaymath}g\equiv \gamma /\gamma _1
,
\end{displaymath} (6)

where $\gamma_1$ denotes the initial lower cut-off in the power-law injection rate (4), and the notation

 \begin{displaymath}g_2=\gamma _2/\gamma _1.
\end{displaymath} (7)

3 Linear cooling solution

In the case of linear cooling with constant energy density UB we can use Eq. (SL-6) as the Green's function to obtain the solution of the kinetic Eq. (5) as

 
$\displaystyle n_{\rm L}(\gamma ,t)=q_0\gamma ^{-s}[1-D_0\gamma t]^{s-2}H[t] H\l...
...1+D_0\gamma _1t}\right]
H\left[{\gamma _2\over 1+D_0\gamma _2t}-\gamma \right],$     (8)

where H[x] denotes Heaviside's step function and with the constant rate

 \begin{displaymath}D_0={4\over 3}{c \sigma _{\rm T} \over m_{\rm e} c^2} U_B = 2...
...es 10^{-14}\left[{U_B\over m_{\rm e} c^2}\right]\hbox{s}^{-1}.
\end{displaymath} (9)

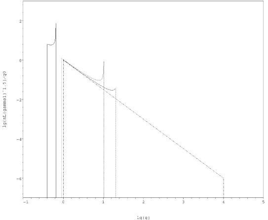
The solution (8) is well known (Kardashev 1962) and exhibits the Kardashev pile-up for flat (s<2) injected power laws. In Fig. 1 we illustrate the time dependence of the linear electron distribution at different times after injection for s=1.5. The electrons pile up at a maximum Lorentz factor that decreases with time. Moreover the initially broad power-law distribution is significatly quenched with increasing time.


  \begin{figure}
\par\includegraphics[width=7.5cm,clip]{8255fig1.eps}\end{figure} Figure 1: Electron distribution function $n_{\rm L}\gamma _1^{3/2}/q_0$ as a function of the normalised Lorentz factor $g=\gamma /\gamma _1$ for s=1.5 and $g_2=\gamma _2/\gamma _1=10^4$ in the linear cooling case at different times $\tau =t/t_{\rm M}=0$ (dotted-dashed curve), 10-2 (dashed curve), 0.1 (thin full curve), and 1 (thick full curve). Here $t_{\rm M}=D_0\gamma _1$.
Open with DEXTER

Figure 2 shows the time dependence of the linear electron distribution for s=3. Here the power law appears between sharp lower and upper cutoffs that decrease with time. One also notices the significant quenching of the power law with increasing time.


  \begin{figure}
\par\includegraphics[width=7.2cm,clip]{8255fig2.eps}\end{figure} Figure 2: Electron distribution function  $n_{\rm L}\gamma _1^3/q_0$ as a function of the normalised Lorentz factor $g=\gamma /\gamma _1$ for s=3 and $g_2=\gamma _2/\gamma _1=10^4$ in the linear cooling case at different times $\tau =t/t_{\rm M}=0$ (dotted-dashed curve), 10-2 (dashed curve), 0.1 (thin full curve), and 1 (thick full curve). Here $t_{\rm M}=D_0\gamma _1$.
Open with DEXTER

For the linear cooling case, solution (8) serves as Green's function, which allowed Kardashev (1962) to derive solutions of the electron kinetic equation for any energy dependence of the injection rate by simple quadratures in just one paper. This comfortable situation does not apply to the solution of the nonlinear electron kinetic equation. Because of the nonlinearity of the kinetic equation the Green's function method does not apply, and one has to derive each solution separately for different energy dependences of the injection rate.

4 Nonlinear cooling solution

In the nonlinear case the magnetic field energy density

\begin{displaymath}U_B(t)={ e}_B U_{\rm e} (t)={ e}_B m_{\rm e} c^2 \int_0^\infty {\rm d} \gamma \gamma n(\gamma ,t)
\end{displaymath}

depends on an energy integral of the actual electron spectrum, so that the loss rate (3) is

 \begin{displaymath}\vert\dot{\gamma }\vert=A_0\gamma ^2 \int_0^\infty {\rm d}\gamma \gamma n(\gamma ,t)
\end{displaymath} (10)

with the abbreviation $A_0={4\over 3}c\sigma _{\rm T}{ e}_B$ cm3 s-1. In this case the solution of the nonlinear kinetic equation is (Appendix A)

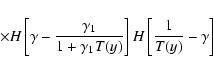
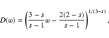
\begin{displaymath}n(\gamma ,y\ge 0)={q_0\over \gamma ^2}\left(\gamma ^{-1}-T(y)\right)^{s-2}H[x-T(y)-x_2]
\end{displaymath}


\begin{displaymath}\quad \quad\quad \quad\quad\quad \quad \times H[x_1 + T(y)-x] \left(1-H[T(y)-x]\right)
\end{displaymath}


\begin{displaymath}\quad\quad\quad\quad\quad=q_0\gamma ^{-s}(1-\gamma T(y))^{s-2}H\left[{\gamma _2 \over 1 + \gamma _2 T(y)}-\gamma \right]
\end{displaymath}


 \begin{displaymath}\quad \quad\quad \quad\quad\quad \quad\times H\left[\gamma -{...
...ver 1+\gamma _1T(y)}\right]H\left[{1\over T(y)}-\gamma \right]
\end{displaymath} (11)

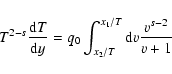
where the variable T(y) is related to the time variable y=A0t through the first-order nonlinear differential equation

 \begin{displaymath}T^{2-s}{{\rm d}T\over {\rm d}y}=q_0\int_{x_2/T}^{x_1/T}{\rm d}v {v^{s-2}\over v+1}\cdot
\end{displaymath} (12)

As shown in Appendix B, the nonlinear differential Eq. (12) can be solved approximately in the small time ( $T \le x_2 \ll x_1$), the intermediate time ( $x_2 \le T \le x_1$), and the late time ( $x_2 \ll x_1\le T$) limits, respectively.

For flat spectral index values 1<s<2, we obtain approximately

\begin{displaymath}T(0\le y\le y_2, s<2)\simeq {q_0\over 2-s}x_2^{s-2}y,
\end{displaymath}


\begin{displaymath}T(y_2\!\le\! y\!\le\! y_1, s<2)\!\simeq\! \left[{3-s\over (2-s)(s-1)}q_0y-~ {2(2-s)\over s-1}x_2^{3-s}\right]^{1/(3-s)},
\end{displaymath}


 \begin{displaymath}T(y\!\ge\! y_1)\!\simeq\!
\left[{2q_0\over s\!-\!1}x_1^{s-1}...
... {4(2\!-\!s)^2\over (3-s)(s-1)}x_2^{3-s}x_1^{s-1}\right]^{1/2}
\end{displaymath} (13)

with

 \begin{displaymath}y_1={(2-s)(s-1)\over (3-s)q_0}\left[ x_1^{3-s}+{2(2-s)\over s-1}x_2^{3-s}\right]
\end{displaymath} (14)

and

 \begin{displaymath}y_2={2-s\over q_0}x_2^{3-s}.
\end{displaymath} (15)

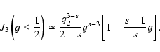
For steep spectral index values s>2, we find approximately

 \begin{displaymath}T(y,s>2)\simeq
\cases{
{q_0\over s-2}x_1^{s-2}y & for $0\le ...
...\right]^{1/2} & for $y\ge {s-2\over q_0}x_1^{3-s}.$\space \cr}
\end{displaymath} (16)

Both approximations can be used in Eq. (11).

4.1 Steep injection power laws s>2

For a steep spectral index value s>2, introduce the time scale

 \begin{displaymath}t_{\rm L}\equiv {s-2\over q_0 A_0\gamma _1^{3-s}},
\end{displaymath} (17)

which is inversely proportional to the particle injection rate q0. This is easy to understand: as the rate of nonlinear cooling depends on the energy density of relativistic particles, the nonlinear cooling time scales depend on the parameters of the injected energy density of particles $U_{\rm e}(0)=m_{\rm e} c^2K$ with
 
                        K = $\displaystyle \int_{\gamma _1}^{\gamma _2}{\rm d}\gamma \gamma q_0\gamma ^{-s}={q_0\over 2-s}\left[\gamma _2^{2-s}-\gamma _1^{2-s}\right]$  
  $\textstyle \simeq$ $\displaystyle q_0
\left\{\begin{array}{ll}{\gamma _2^{2-s}\over 2-s} & \mbox{for } s<2 \cr
{\gamma _1^{2-s}\over s-2} & \mbox{for } s>2. \end{array}\right.$ (18)

For the steep (s>2) power laws considered here, the injected energy density K is determined by the lower cut-off $\gamma_1$ of the particles. With Eq. (18), the time scale (17) simply reads

 \begin{displaymath}t_{\rm L}=(A_0\gamma _1K)^{-1}.
\end{displaymath} (19)

The solution to the nonlinear kinetic equation then is approximately

\begin{displaymath}n(\gamma , 0\le t\le t_{\rm L}, s > 2) \simeq q_0\gamma ^{-s}\left[1-{\gamma \over \gamma _1}{t\over t_{\rm L}}\right]^{s-2}
\end{displaymath}


 \begin{displaymath}\quad \quad \quad\quad \times H\left[{\gamma _2\over 1+{\gamm...
... L}}}\right] H\left[\gamma _1{t_{\rm L}\over t}-\gamma \right]
\end{displaymath} (20)

and

\begin{displaymath}n(\gamma, t\ge t_{\rm L}, s>2)\simeq q_0\gamma ^{-s} \left[1-{\gamma \over \gamma _1}A(t)\right]^{s-2}
\end{displaymath}


 \begin{displaymath}\quad\quad\quad\times
H\left[{\gamma _2\over 1+{\gamma _2\ove...
...over 1+A(t)}\right] H\left[{\gamma _1\over A(t)}-\gamma\right]
\end{displaymath} (21)

with

 \begin{displaymath}A(t)=\sqrt{{2(s-2)\over s-1}{t\over t_{\rm L}}+{3-s\over s-1}}.
\end{displaymath} (22)

Both solutions agree at  $t=t_{\rm L}$.

4.2 Flat injection power laws 1<s<2

For low spectral index values, the short time behaviour of the approximate solution to the nonlinear kinetic equation is more involved. Introduce the two time scales

 \begin{displaymath}t_{\rm M} \equiv {2-s\over q_0A_0\gamma _2^{3-s}},
\end{displaymath} (23)

and
 
                     $\displaystyle t_{\rm K}$ = $\displaystyle {s-1\over 3-s} t_{\rm M} \left[\left({\gamma _2\over \gamma _1}\right)^{3-s}+{2(2-s)\over s-1}\right]$  
  $\textstyle \quad \simeq$ $\displaystyle {s-1\over 3-s}\left({\gamma _2\over \gamma _1}\right)^{3-s} t_{\rm M} \gg t_{\rm M},$ (24)

both of which are inversely proportional to the particle injection rate q0. Using Eq. (18) we can express the time scale (23) in terms of the kinetic energy density of the injected particles as

 \begin{displaymath}t_{\rm M}=(A_0K \gamma _2)^{-1}.
\end{displaymath} (25)

For flat spectral indices s<2, the kinetic energy density K is determined by the upper cut-off $\gamma _2$ of the injected particles, which explains the appearance of $\gamma _2$ instead of $\gamma_1$ in the time scale (25). As an aside: if we compare the time scales (25) and (17) we notice that $t_{\rm M}=(\gamma _2/\gamma _1)t_{\rm L}$ is much shorter than $t_{\rm L}$.

Equation (13) then yields

 
                           $\displaystyle T(0\le t\le t_{\rm M})$ $\textstyle \simeq$ $\displaystyle {1\over \gamma _2}{t\over t_{\rm M}},$  
$\displaystyle T(t_{\rm M} \le t \le t_{\rm K})$ $\textstyle \simeq$ $\displaystyle {1\over \gamma _2} \left[{3-s \over s-1}{t\over t_{\rm M}}-{2(2-s)\over s-1}\right]^{1/(3-s)},$  
$\displaystyle T(t\ge t_{\rm K})$ $\textstyle \simeq$ $\displaystyle \Bigl[\gamma _2^{s-3} \gamma _1^{1-s}\left({2(2-s)\over s-1}{t\over t_{\rm M}}-{4(2-s)^2\over (3-s)(s-1)}\right)$  
  $\textstyle \quad+$ $\displaystyle {s-1\over (3-s)\gamma_1^2}\Bigr]^{1/2}.$ (26)

The approximate solution to the nonlinear kinetic equation is then

\begin{displaymath}n(\gamma ,0 \le t \le t_{\rm M}, 1<s<2) \simeq q_0\gamma ^{-s}\left[1-{\gamma \over \gamma _2}{t\over t_{\rm M}}\right]^{s-2}
\end{displaymath}


 \begin{displaymath}\quad\quad \quad \quad \times H\left[{\gamma _2\over 1+{t\ove...
...}}}\right]
H\left[\gamma _2{t_{\rm M}\over t}-\gamma \right]
,
\end{displaymath} (27)


\begin{displaymath}n(\gamma ,t_{\rm M}\le t\le t_{\rm K}, 1<s<2)\simeq q_0\gamma ^{-s}\left[1-{\gamma \over \gamma _2}D(t)\right]^{s-2}\end{displaymath}


 \begin{displaymath}\quad \quad \quad\times H\left[{\gamma _2\over 1+D(t)}-\gamma...
... _2}D(t)}\right] H\left[{\gamma _2\over D(t)}-\gamma \right]
,
\end{displaymath} (28)

and

\begin{displaymath}n(\gamma , t\ge t_{\rm K}, 1<s<2)\simeq q_0\gamma ^{-s}\left[1-{\gamma \over \gamma _2}F(t)\right]^{s-2}\end{displaymath}


 \begin{displaymath}\quad\quad\quad
\times H\left[{\gamma _2\over 1+F(t)}-\gamma ...
...ma _2}F(t)}\right] H\left[{\gamma _2\over F(t)}-\gamma \right]
\end{displaymath} (29)

where

 \begin{displaymath}D(t)=\left({3-s\over s-1}{t\over t_{\rm M}}-{2(2-s)\over s-1}\right)^{1/(3-s)},
\end{displaymath} (30)

and
 
F(t) = $\displaystyle \Biggl[\left({\gamma _2\over \gamma _1}\right)^{s-1}\left[{2(2-s)...
...right]
+{s-1\over (3-s)}\left({\gamma _2\over \gamma _1}\right)^2\Biggr]^{1/2}.$ (31)

Again the solutions are continous at $t=t_{\rm M}$ and $t=t_{\rm K}$, respectively.

5 Properties of the nonlinear electron distribution function in comparison to the linear electron distribution

In this section we discuss in detail the differences between the properties of the nonlinear and the linear solutions regarding the cooling time scales, the time evolution of the upper and lower cut-offs in the electron distribution and the distribution function itself.

5.1 Cooling time scales

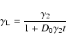
In the linear cooling case, solution (8) shows that an electron starting with Lorentz factor $\gamma _2$ cools to the Lorentz factor

 \begin{displaymath}\gamma _{\rm L}={\gamma _2 \over 1+D_0\gamma _2t}
\end{displaymath} (32)

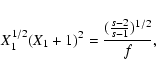
at later times. The half-life time, $t^{\rm L}_{1/2}$, where the Lorentz factor has cooled to half its initial value  $\gamma _{\rm L}(t^{\rm L}_{1/2})=\gamma _2/2$,

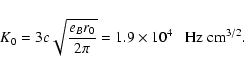
 \begin{displaymath}t^{\rm L}_{1/2}={1\over D_0\gamma _2}= {3.76\times 10^{13} \over \gamma _2}\left[{4.54\hbox{ mG}\over B}\right]^2 \hbox{s},
\end{displaymath} (33)

depends inversely on the initial Lorentz factor and the magnetic field strength. In particular, $t^{\rm L}_{1/2}$ does not dependent on the strength q0 of the injection rate or the initial kinetic energy in injected electrons K.

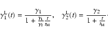
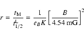
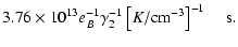
In the nonlinear cooling case, the time dependence of the electron distribution function is controlled by the time scale (25)

 
                        $\displaystyle t_{\rm M}$ = $\displaystyle (A_0\gamma _2K)^{-1}={3\over 4c \sigma _{\rm T}e_BK\gamma _2}$  
  = $\displaystyle 3.76 \times 10^{13}{ e}_B^{-1} \gamma _2^{-1} \left[K/\hbox{cm}^{-3}\right]^{-1}\;\;\;\; \hbox{s}.$ (34)

Here $t_{\rm M}$ does depend on the initial kinetic energy of injected electrons K due to the equipartition conditions. The more electrons that are injected, the quicker each electron cools under equipartition requirements. Such a collective behaviour is new and completely different from the linear case.

5.1.1 Non-equipartition conditions

For non-equipartition magnetic field strengths, the ratio of the nonlinear (34) to the linear (33) cooling time

 \begin{displaymath}r={t_{\rm M}\over t^{\rm L}_{1/2}}={1\over { e}_B K}\left[{B\over 4.54\hbox{ mG}}\right]^2
\end{displaymath} (35)

is much lower than unity provided $K { e}_B>\left[{B\over 4.54~{\rm mG}}\right]^2$, which is easily fulfilled in GRB sources and blazars. Modelling of blazar flaring (e.g. Dermer & Schlickeiser 1992, 2002) indicates that about $q_0\simeq 10^5$ electrons per cm-3 with Lorentz factors  $\gamma _2 \simeq 10^7$, implying K=1012 cm-3, are injected into sources with several Gauss ( $B\simeq 10$ G) fields. The nonlinear cooling time is then more than four orders of magnitude shorter than the standard linear half-life (SL).

5.1.2 Equipartition conditions

In equipartition conditions with constant energy density ratio values,

 \begin{displaymath}{e}_B={e}_B(0)={U_B(0)\over U_{\rm e}(0)}={B^2(0)\over 8\pi m_{\rm e} c^2K},
\end{displaymath} (36)

the initial magnetic field strength B(0) is determined by the initial kinetic energy of injected particles, so that the cooling time ratio (35) equals unity,

 \begin{displaymath}r_{\rm eq}=1,
\end{displaymath} (37)

implying equal nonlinear and linear cooling time values  $t_{\rm M}=t^{\rm L}_{1/2}$.

To illustrate the results in the following, we adopt initial electron cut-offs $\gamma _1 =10^4$ and  $\gamma _2 = 10^8$ and the full equipartition parameters K=1012 cm-3, implying $B(0)=4.53 \times 10^{3}$ G. In this case the linear and nonlinear cooling time values are equal, $t_{\rm M}=t^{\rm L}_{1/2}$.


  \begin{figure}
\par\includegraphics[width=8cm,clip]{8255fig3.eps}\end{figure} Figure 3: Time dependences of the lower ( $\gamma _1(t)$) and the upper ( $\gamma _2(t)$) cut-offs of the electron distribution functions for s=3 in the linear and nonlinear case. Linear $\gamma _1(t)$ (dashed curve), nonlinear $\gamma _1(t)$ (thick full curve), linear $\gamma _2(t)$ (dotted-dashed curve), nonlinear $\gamma _2(t)$ (thin full curve). Initial values $\gamma _1 =10^4$ and $\gamma _2 = 10^8$ are assumed.
Open with DEXTER

5.2 Electron distribution function cut-offs

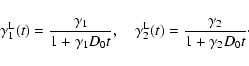
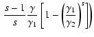
In the linear cooling case, the Lorentz factor cut-offs $\gamma_1$ and $\gamma _2$of the initial power law each decrease as a function of time as

 \begin{displaymath}\gamma _1^{\rm L}(t)={\gamma _1 \over 1+\gamma _1 D_0 t},\quad\gamma _2^{\rm L}(t) = {\gamma _2 \over 1 + \gamma _2D_0t}\cdot
\end{displaymath} (38)

In terms of the nonlinear time scale $t_{\rm M}$, Eqs. (38) read as

 \begin{displaymath}\gamma _1^{\rm L}(t)={\gamma _1\over 1+{\gamma _1\over \gamma...
...gamma _2^{\rm L}(t)={\gamma _2\over 1+{t\over t_{\rm M}}}\cdot
\end{displaymath} (39)

In the nonlinear case we find for steep injection spectra s>2

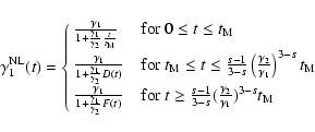
 \begin{displaymath}\gamma _1^{\rm NL}(t) =\cases {{\gamma _1\over 1+{\gamma _2\o...
...} & for $t\ge {\gamma _1\over \gamma _2}t_{\rm M}$\space \cr }
\end{displaymath} (40)

and

 \begin{displaymath}\gamma _2^{\rm NL}(t)
=\cases {{\gamma _2\over 1+({\gamma _2\...
... &
for $t\ge {\gamma _1\over \gamma _2}t_{\rm M}.$\space \cr}
\end{displaymath} (41)

Figure 3 displays the different time dependences of $\gamma _1(t)$ and $\gamma _2(t)$ for the linear and the nonlinear cases, calculated for s=3. We note several important differences: (a) at early times $t\le {\gamma _1\over \gamma _2}t_{\rm M}=10^{-4}t_{\rm M}$, the nonlinear lower cut-off value is practically constant as is the linear lower cut-off value; (b) at early times $t\le {\gamma _1\over \gamma _2}t_{\rm M}=10^{-4}t_{\rm M}$, the linear upper cut-off value remains practically constant while the nonlinear upper cut-off quickly decreases inversely proportional to time; (c) at later times, the upper and lower cut-off curves converge to each other both in the linear and nonlinear cases; i.e., the initially broad power law is significantly quenched, but the nonlinear cut-offs exhibit a slower ( ${\propto}t^{-1/2}$) decay than the linear decrease in the linear cut-offs.


  \begin{figure}
\par\includegraphics[width=8cm,clip]{8255fig4.eps}\end{figure} Figure 4: Time dependences of the lower ( $\gamma _1(t)$) and the upper ( $\gamma _2(t)$) cut-offs of the electron distribution functions for s=1.5 in the linear and nonlinear cases. Linear $\gamma _1(t)$ (dashed curve), nonlinear $\gamma _1(t)$ (thin full curve), linear $\gamma _2(t)$ (dotted-dashed curve), nonlinear $\gamma _2(t)$ (thick full curve). Initial values $\gamma _1 =10^4$ and $\gamma _2 = 10^8$ are assumed.
Open with DEXTER

Likewise, in the nonlinear case, we find for flat injection spectra 1<s<2

 \begin{displaymath}\gamma _1^{\rm NL}(t)=
\cases {{\gamma _1 \over 1 + {\gamma _...
...er 3-s}({\gamma _2\over \gamma _1})^{3-s}t_{\rm M}$\space \cr}
\end{displaymath} (42)

and

 \begin{displaymath}\gamma _2^{\rm NL}(t)=
\cases {{\gamma _2\over 1+{t\over t_{\...
... 3-s}({\gamma _2\over \gamma _1})^{3-s}t_{\rm M}$\space \cr },
\end{displaymath} (43)

which are shown in Fig. 4 for s=1.5 in comparison to the linear behaviour. Again at early times, $t\le t_{\rm M}$, the cut-off variations with time are similar to the linear case, while at intermediate times, they exhibit a power law decrease through D(t) (depending on the spectral index s of injected particles). At late times, $t\ge {s-1\over 3-s}({\gamma _2\over \gamma _1})^{3-s}t_{\rm M}$, they exhibit a decrease through F(t).

5.3 Electron distribution function

For the same parameters used in the last section, we show in Figs. 5 and 6 the nonlinear and linear electron distributions as a function of the electron Lorentz factor for the cases s=1.5 and s=3. Again the power laws appear between sharp lower and upper cut-offs that decrease with time. One also notices the significant quenching of the power law with increasing time and the pile-up in the case of flat injection spectral index (Fig. 5).


  \begin{figure}
\par\includegraphics[width=8.5cm,clip]{8255fig5.eps}\end{figure} Figure 5: Electron distribution function $n_{\rm NL}\gamma _1^{3/2}/q_0$ as a function of the normalised Lorentz factor $g=\gamma /\gamma _1$ for s=1.5 and $g_2=\gamma _2/\gamma _1=10^4$ in the nonlinear cooling case at different times $\tau =t/t_{\rm M}=0$ (dotted-dashed curve), 102 (dashed curve), 104 (thin full curve), and 106 (thick full curve).
Open with DEXTER


  \begin{figure}
\par\includegraphics[width=8.5cm,clip]{8255fig6.eps}\end{figure} Figure 6: Electron distribution function $n_{\rm NL}\gamma _1^3/q_0$ as a function of the normalised Lorentz factor $g=\gamma /\gamma _1$ for s=3 and $g_2=\gamma _2/\gamma _1=10^4$ in the nonlinear cooling case at different times $\tau =t/t_{\rm M}=0$ (dotted-dashed curve), 10-2 (dashed curve), 0.5 (thin full curve), and 10 (thick full curve).
Open with DEXTER

6 Electron fluence distribution

In this section we calculate the time-integrated electron distributions (fluences)

 \begin{displaymath}N(\gamma)=\int_0^\infty {\rm d}t~ n(\gamma ,t)
\end{displaymath} (44)

in the linear and nonlinear cases.

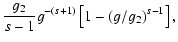
6.1 Linear electron fluence

With the substitution  $\tau =D_0 \gamma t$, the linear distribution function (8) immediately yields

\begin{displaymath}N_{\rm L}(\gamma )={q_0\over D_0}\gamma ^{-(s+1)} \int_0^\inf...
...^{s-2}
H\left[\tau -{\gamma _1-\gamma \over \gamma _1}\right]
\end{displaymath}


\begin{displaymath}\hspace*{1.5cm} \times ~~H\left[{\gamma _2-\gamma \over \gamma _2}-\tau \right] ={q_0\over D_0(s-1)}
\end{displaymath}


 \begin{displaymath}\hspace*{1.5cm}\times \cases{\gamma ^{-2}\left[\gamma _1^{1-s...
... \gamma _2$\space \cr
0 & for $\gamma > \gamma _2.$\space \cr}
\end{displaymath} (45)

This broken power law exhibits a spectral break by  $\Delta s=s-1$ at $\gamma_1$.

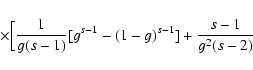
6.2 Nonlinear electron fluence

The nonlinear distribution functions (20)-(21) for large spectral indices s>2, and (27)-(29) for flat spectral spectral indices 1<s<2, are used in Appendix C to calculate the nonlinear electron fluence distributions.

For electron radiation processes not subject to equipartition conditions, such as inverse Compton scattering of ambient photon gases and relativistic bremsstrahlung, the energy dependences of the electron number density and the electron fluence can be directly used to infer the frequency dependence of the fluxes and fluences of the generated photons by folding the electron energy distributions with the respective radiation cross-sections to calculate the respective spontaneous emission and absorption coefficients.

In the case of synchrotron radiation and synchrotron-self-Compton emission, the frequency-energy relation is more complicated as the magnetic field strength is also time-dependent due to the equipartition condition. In Sect. 8 we calculate the nonlinear optically thin synchrotron radiation intensity and compare it with the synchrotron intensity in the linear cooling case.

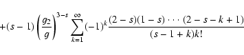
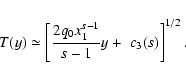
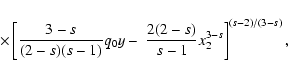
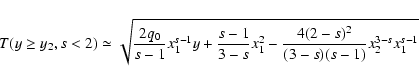
With the substitutions $z=t/t_{\rm L}$, $g=\gamma /\gamma _1$ and $g_2=\gamma _2/\gamma _1$ for large spectral indices, we obtain

 
                  $\displaystyle N_{\rm NL}(\gamma >\gamma _2, s>2)$ = 0,  
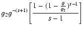
$\displaystyle N_{\rm NL}(\gamma _1< \gamma \le \gamma _2, s>2)$ = $\displaystyle {q_0t_{\rm L}\gamma _1\over s-1}\gamma ^{-s-1}\left[1-\left({\gamma \over \gamma _2}\right)^{s-1}\right]$ (46)


 \begin{displaymath}N_{\rm NL}\left({\gamma _2\over 1+\gamma _2}<\gamma \le \gamm...
...} \left[1-\left({\gamma _1\over \gamma _2}\right)^{s-1}\right]
\end{displaymath} (47)


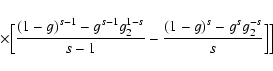
\begin{displaymath}N_{\rm NL}\left({\gamma _1\over 2}<\gamma \le {\gamma _2\over 1+\gamma _2}, s>2\right)= q_0t_{\rm L}\gamma ^{-s}
\end{displaymath}


\begin{displaymath}\quad\quad\quad\times \Biggl[{1\over g(s-1)} \left[g^{s-1}-(1-g)^{s-1} \right] + {s-1\over g^2(s-2)}
\end{displaymath}


 \begin{displaymath}\quad\quad\quad\times \left[{(1-g)^{s-1}-g^{s-1}g_2^{1-s}\over s-1}-{(1-g)^s-g^{s}g_2^{-s}\over s}\right] \Biggr]
\end{displaymath} (48)

and

 
          $\displaystyle N_{\rm NL}\left(\gamma \le {\gamma _1\over 2}, s > 2\right)$ = $\displaystyle {q_0t_{\rm L}\gamma _1^{3 - s}\over s - 2}\gamma ^{-3} \left(1 - \left({\gamma _1\over \gamma _2}\right)^{s-1}\right.$  
  $\textstyle \quad \quad-$ $\displaystyle \left. {s - 1\over s}{\gamma \over \gamma _1}\left[1 - \left({\gamma _1\over \gamma _2}\right)^s\right]\right)$  
  $\textstyle \simeq$ $\displaystyle {q_0t_{\rm L}\gamma _1^{3-s}\over s-2}\gamma ^{-3}\left(1-{s-1\over s}{\gamma \over \gamma _1}\right)\cdot$ (49)

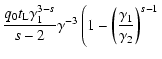
For the Lorentz factors above $\gamma_1$, the nonlinear fluence distribution agrees with the linear steepened injection distribution (49), but for lower energies we obtain a different behaviour. Much below the transition region  $\gamma \simeq \gamma _1/2$, the nonlinear fluence (154) approaches a power law  ${\propto}\gamma ^{-3}$ whose spectral index is larger by unity than in the linear case. Consequently, we also obtain a broken power-law behaviour for the nonlinear fluence, but with a smaller spectral break by $\Delta s=s-2$ around $\gamma_1$ than in the linear case.

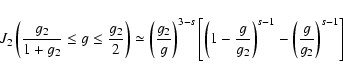
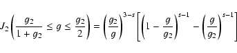
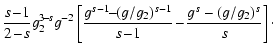
Likewise, for flat injection spectra we find

 \begin{displaymath}N_{\rm NL}(g, 1<s<2)=q_0t_{\rm M} \gamma _1^{-s}J(g)
\end{displaymath} (50)

with
 
                      J(g>g2) = 0,  
$\displaystyle J\left({g_2\over 2}\le g\le g_2\right)$ = $\displaystyle {g_2\over s-1}g^{-(s+1)}\left[1-(g/g_2)^{s-1}\right],$ (51)


 
                 $\displaystyle J\left(1\le g\le {g_2\over 2}\right)$ = $\displaystyle g_2g^{-(s+1)}\left[{1-(1-{g\over g_2})^{s-1}\over s-1}\right]$  
  $\textstyle \quad+$ $\displaystyle (g_2/g)^{2-s}\left(\left(1-{g\over g_2}\right)^{s-1}-\left({g\over g_2}\right)^{s-1}\right)\Biggr]$  
  $\textstyle \simeq$ $\displaystyle g_2^{3-s}g^{-3}\left(\left(1-{g\over g_2}\right)^{s-1}-\left({g\over g_2}\right)^{s-1}\right)$ (52)

and

 \begin{displaymath}J\left(g\le {1\over 2}\right)\simeq {g_2^{3-s}\over 2-s}g^{-3}\left[1-{s-1\over s}g\right],
\end{displaymath} (53)

which, at all energies less than  $g\le (g_2/2)$ corresponding to $\gamma \le \gamma _2/2$, is an unbroken power law with spectral index 3 independent of the injected flat power law value 1<s<2.

7 Steady-state case

For completeness here we consider the linear and nonlinear steady-state solutions for the electron distribution resulting from the steady injection of the power law

 \begin{displaymath}Q(\gamma)=q_0\gamma ^{-s}H[\gamma -\gamma _1]H[\gamma _2-\gamma]
\end{displaymath} (54)

with $\gamma _2>\gamma _1 \gg 1$. The linear electron equilibrium distribution obeys the kinetic equation

 \begin{displaymath}{{\rm d}\over {\rm d}\gamma }\left[ D_0\gamma (\gamma ^2-1)^{1/2} M_{\rm L}(\gamma) \right]=-Q(\gamma),
\end{displaymath} (55)

whereas the nonlinear electron equilibrium distribution obeys

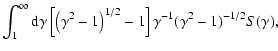
\begin{displaymath}A_0\left[\int_1^\infty {\rm d}u \left[(u^2-1)^{1/2}-1\right]M_{\rm N}(u)\right]
\end{displaymath}


 \begin{displaymath}\quad\quad\quad\times {{\rm d}\over {\rm d}\gamma}(\gamma \left(\gamma ^2-1)^{1/2}M_{\rm N}(\gamma)\right) =-Q(\gamma).
\end{displaymath} (56)

In contrast to the previous calculations, we depart from the ultrarelativistic treatment, so that $1\le \gamma \le \infty$, and we use the correspondingly corrected forms for the kinetic energy density and the synchrotron loss term (Kirk et al. 1988). The linear kinetic Eq. (55) immediately yields
 
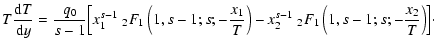
                        $\displaystyle M_{\rm L}(\gamma)$ = $\displaystyle {1\over D_0\gamma \left(\gamma ^2-1\right)^{1/2}}\int_{\gamma}^\infty {\rm d}\gamma'Q\left(\gamma' \right)$  
  = $\displaystyle {q_0\over D_0(s-1)\gamma \left(\gamma ^2-1\right)^{1/2}}$  
    $\displaystyle \times \left\{\begin{array}{ll} \gamma _1^{1-s}[1-(\gamma _1/\gam...
...gamma \le \gamma _2 \cr
0 & \mbox{for } \gamma \ge \gamma _2.\end{array}\right.$ (57)

To solve the nonlinear kinetic Eq. (56) introduce

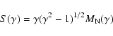
 \begin{displaymath}S(\gamma)=\gamma (\gamma ^2-1)^{1/2}M_{\rm N}(\gamma)
\end{displaymath} (58)

and
 
                        U = $\displaystyle \int_1^\infty {\rm d}\gamma \left[\left(\gamma ^2-1\right)^{1/2}-1\right]M_{\rm N}(\gamma)$  
  = $\displaystyle \int_1 ^\infty {\rm d}\gamma \left[\left(\gamma ^2-1\right)^{1/2}-1\right]\gamma ^{-1}(\gamma ^2-1)^{-1/2}S(\gamma),$ (59)

so that Eq. (56) reads

 \begin{displaymath}{{\rm d}S\over {\rm d}\gamma }=-{Q(\gamma)\over A_0 U}
\end{displaymath} (60)

with the solution
 
                            $\displaystyle S(\gamma)$ = $\displaystyle {1\over A_0U}\int_{\gamma}^\infty {\rm d}\gamma'Q(\gamma')$  
  = $\displaystyle {q_0\over (s-1)A_0 U}
\left\{\begin{array}{ll}\gamma _1^{1-s}-\ga...
...gamma \le \gamma _1 \cr
0 & \mbox{for } \gamma \ge \gamma _2.\end{array}\right.$ (61)

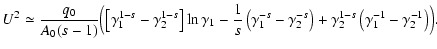
Inserting Eq. (61) yields for Eq. (59)

\begin{displaymath}U^2={q_0\over A_0(s-1)}\Bigl(\left[\gamma _1^{1-s}-\gamma _2^{1-s}\right]\int_1^{\gamma _1}{{\rm d}\gamma \over \gamma }
\end{displaymath}


 \begin{displaymath}\quad \quad-\int_{\gamma _1}^{\gamma _2}{\rm d}\gamma {\gamma...
...gamma _2}{\rm d}\gamma \gamma ^{-1}(\gamma ^2-1)^{-1/2}\Bigr).
\end{displaymath} (62)

Because $\gamma _1\gg 1$ the second and third integral in Eq. (62) are solved approximately as

\begin{displaymath}\int_{\gamma _1}^{\gamma _2}{\rm d}\gamma \gamma ^{-s}\left(\...
...-1}\simeq {1\over s}\left(\gamma _1^{-s}-\gamma _2^{-s}\right)
\end{displaymath}

and

\begin{displaymath}\int_{\gamma _1}^{\gamma _2}{\rm d}\gamma \gamma ^{-1}\left(\...
...a _2}{\rm d}\gamma \gamma ^{-2}=\gamma _1^{-1}-\gamma _2^{-1}.
\end{displaymath}

We then obtain
 
$\displaystyle U^2\simeq {q_0\over A_0(s-1)}\Bigl(\left[\gamma _1^{1-s}-\gamma _...
... _2^{-s}\right)+\gamma _2^{1-s}\left(\gamma_1^{-1}-\gamma _2^{-1}\right)\Bigr).$     (63)

The nonlinear solution according to Eqs. (58) and (61) then is

 \begin{displaymath}M_{\rm N}(\gamma)={q_0\over (s-1)A_0U}\gamma ^{-1}\left(\gamm...
... \le \gamma _1$\space \cr
0 & for $\gamma \ge \gamma _2.$\cr}
\end{displaymath} (64)

For $\gamma _2\gg\gamma _1 \gg 1$ and s>1 we find approximately

 \begin{displaymath}U\simeq \left[{q_0\ln \gamma _1\over A_0(s-1)\gamma _1^{s-1}}\right]^{1/2}
\end{displaymath} (65)

and
 
                          $\displaystyle M_{\rm N}(\gamma)$ $\textstyle \simeq$ $\displaystyle {q_0^{1/2}\gamma _1^{(s-1)/2}\over [A_0(s-1)\ln \gamma _1]^{1/2}}
\gamma ^{-1}\left(\gamma ^2-1\right)^{-1/2}$  
    $\displaystyle \times \left\{\begin{array}{ll}\gamma _1^{1-s}-\gamma _2^{1-s} & ...
...e \gamma \le \gamma_1 \cr
0 & \mbox{for }\gamma \ge \gamma_2.\end{array}\right.$ (66)

Under equipartition conditions (see Sect. 5.1.2), we have

 \begin{displaymath}D_0= A_0 K={q_0\over 2-s}\left(\gamma _2^{2-s}-\gamma _1^{2-s}\right)A_0
,
\end{displaymath} (67)

yielding for the linear solution (56)
 
$\displaystyle M_{\rm L}(\gamma)={2-s\over A_0(s-1)\left(\gamma _2^{2-s}-\gamma ...
...\gamma \le \gamma _2 \cr
0 & \mbox{for }\gamma \ge \gamma _2.\end{array}\right.$     (68)

While the linear (Eq. (68)) and the nonlinear (Eq. (66)) steady-state solutions exhibit the same dependence on the electron Lorentz factor, their absolute values are different. The nonlinear solution (66) depends on the injection rate ( ${\propto} q_0^{1/2}$) whereas the linear solution (68) under equipartition conditions is independent from q0. Also the dependence on the initial cut-offs $\gamma_1$ and $\gamma _2$ is different for the two solutions.

8 Optically thin synchrotron intensity and fluence distribution

Here we calculate the optically thin synchrotron intensity and fluence distribution in the linear and nonlinear cooling case, using the monochromatic approximation (Felten & Morrison 1966) of the synchrotron spectral power in vacuum

 \begin{displaymath}p_{\rm syn}(\gamma ,\nu )={c\sigma _{\rm T} B^2\gamma ^2\over 6\pi}\delta (\nu -\nu _s\gamma ^2)
\end{displaymath} (69)

with the characteristic frequency

 \begin{displaymath}\nu _s={3{e} B\over 4\pi m_{\rm e} c}=4.2\times 10^6b\;\;\; \hbox{Hz}
\end{displaymath} (70)

for a magnetic field strength of B=b Gauss. Here, $\sigma _{\rm T}$ denotes the Thomson cross section. The monochromatic approxiamtion works well for broad energy distribution functions of the radiating electrons, as is the case here.

The optically thin synchrotron radiation intensity from a homogeneous source of size L is then given as

 
                           $\displaystyle I(\nu ,t)$ = $\displaystyle {L\over 4\pi }\int_0^\infty {\rm d}\gamma n(\gamma ,t)p_{\rm syn}(\gamma ,\nu)$  
  = $\displaystyle {Lc\sigma _{\rm T}B^2\over 48\pi ^2\nu _s}\sqrt{\nu \over \nu _s}n\left(\gamma =\sqrt{\nu \over \nu _s},t\right).$ (71)

8.1 Linear cooling

With the linear electron distribution function (8), we obtain

 
                          $\displaystyle I_{\rm L}(\nu ,t)$ = $\displaystyle {Lcq_0\sigma _{\rm T}B^2\over 48\pi ^2\nu _s}\left({\nu \over \nu _s}\right)^{{1-s\over 2}} \left[1-D_0t\sqrt{\nu \over \nu _s}\right]^{s-2}H[t]$  
  $\textstyle \quad\times$ $\displaystyle H\left[\nu -{\nu _s\gamma _1^2\over (1+D_0\gamma _1t)^2}\right]
H\left[{\nu _s\gamma _2^2\over (1+D_0\gamma _2t)^2}-\nu \right].$ (72)

Using our previous notation $g_2=\gamma _2/\gamma _1$ and $\tau =D_0\gamma _1t$ and introducing the normalised frequency

 \begin{displaymath}\omega ={\nu \over \nu _s\gamma _1^2},
\end{displaymath} (73)

we can write the linear synchrotron intensity (72) as

\begin{displaymath}I_{\rm L}(\omega ,\tau)= {Lcq_0\sigma _{\rm T} B^2 \over 48\p...
...^{{1-s\over 2}}
\left[1-\tau \omega ^{1/2}\right]^{s-2}H[\tau]
\end{displaymath}


 \begin{displaymath}\quad\quad\quad\quad\times H\left[\omega -(1+\tau )^{-2}\right] H\left[\left({g_2\over 1+g_2\tau }\right)^2-\omega \right].
\end{displaymath} (74)

By integrating over all times we obtain for the linear synchrotron fluence

\begin{displaymath}F_{\rm L}(\omega)={1\over D_0\gamma _1}\int_0^\infty {\rm d}\...
...cq_0\sigma _{\rm T}B^2\over 48(s-1)\pi ^2D_0\nu _s\gamma _1^s}
\end{displaymath}


 \begin{displaymath}\quad\quad\quad\times \cases{\omega ^{-1/2}(1-g_2^{1-s}) & {\...
...2)^{(s-1)/2}] & {\rm for} $1\le \omega \le g_2^2.$\space \cr }
\end{displaymath} (75)

The linear synchrotron fluence is a broken power law THAT exhibits a spectral break by $\Delta \alpha =(s-1)/2$ at $\nu =\nu _s\gamma _1^2$ in agreement with the behaviour of the linear electron fluence (45). Moreover, independent of the spectral index s of the injected power law, the linear synchrotron fluence at low frequencies approaches the same frequency spectral index  $\alpha _{\rm L}=0.5$.

8.2 Nonlinear cooling

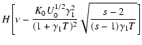
In the nonlinear cooling case the magnetic field strength becomes time-dependent (see Eq. (2)) so that the characteristic frequency (70) is

 \begin{displaymath}\nu _s(t)=K_0[U(t)]^{1/2}\;\; \hbox{Hz}
\end{displaymath} (76)

with (y=A0t)

 \begin{displaymath}U(y)=\int_0^\infty {\rm d}\gamma \gamma n(\gamma ,t)={{\rm d}T\over {\rm d}y},
\end{displaymath} (77)

and in terms of the classical electron radius r0

 \begin{displaymath}K_0 = 3 c \sqrt{{e}_Br_0\over 2\pi }=1.9\times 10^4\;\;\; \hbox{Hz}~ \hbox{cm}^{3/2}.
\end{displaymath} (78)

The optically thin synchrotron radiation intensity from a homogeneous source of size L is then given as

\begin{displaymath}I_{\rm NL}(\nu ,y)={Lm_{\rm e} c^3\sigma _{\rm T} {e}_B U^{1/2}(y)\over 6\pi K_0}\sqrt{\nu \over K_0U^{1/2}(y)}
\end{displaymath}


 \begin{displaymath}\quad\quad\quad\quad\times n\left(\gamma =\sqrt{\nu \over K_0U^{1/2}(y)},y\right).
\end{displaymath} (79)

Inserting the nonlinear electron distribution function (11) we find

\begin{displaymath}I_{\rm NL}(\nu ,y)={Lm_{\rm e} c^3\sigma _{\rm T}q_0{e}_BU^{1...
...6\pi K_0}\left({\nu \over K_0U^{1/2}(y)}\right)^{{1-s\over 2}}
\end{displaymath}


\begin{displaymath}\quad\quad\quad\quad\quad\quad\times \left(1\!-\! \sqrt{\nu \over K_0U^{1/2}(y)}T(y)\right)^{s\!-\!2}
\end{displaymath}


 \begin{displaymath}\quad\quad\quad\quad\quad\quad\times H[y]H\left[\nu \!-\!{K_0...
...U^{1/2}\gamma _2^2\over (1\!+\!\gamma _2T)^2}\!-\!\nu \right].
\end{displaymath} (80)

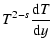
Equations (13) and (16) now give the implicit time variable T(y) as a function of y from which we calculate

 \begin{displaymath}U(y)={{\rm d}T\over {\rm d}y}
\end{displaymath} (81)

yielding

\begin{displaymath}U(0\le y\le y_2, s<2)\simeq {q_0\over 2-s}x_2^{s-2},
\end{displaymath}


\begin{displaymath}U(y_2\le y\le y_1, s<2)\simeq {q_0\over (2-s)(s-1)}
\end{displaymath}


\begin{displaymath}\quad\quad\quad\quad\quad\times \left[{3-s\over (2-s)(s-1)}q_0y-~ {2(2-s)\over s-1}x_2^{3-s}\right]^{(s-2)/(3-s)},
\end{displaymath}


 
                  $\displaystyle U(y\ge y_1, s<2)$ $\textstyle \simeq$ $\displaystyle {q_0x_1^{s-1}\over s-1} \left[{2q_0\over s-1}x_1^{s-1}y+ {s-1\over 3-s}x_1^2\right.$  
  $\textstyle \quad -$ $\displaystyle \left.{4(2-s)^2\over (3-s)(s-1)}x_2^{3-s}x_1^{s-1}\right]^{-1/2},$ (82)

and for steep spectral index values s>2
 
                            U(0 $\textstyle \le$ $\displaystyle y\le {s-2\over q_0}x_1^{3-s},s>2)\simeq {q_0\over s-2}x_1^{s-2},$  
U(y $\textstyle \ge$ $\displaystyle {s-2\over q_0}x_1^{3-s},s>2)\simeq {q_0x_1^{s-1}\over s-1}\left[{2q_0\over s-1}x_1^{s-1}y +{3-s\over s-1}x_1^2\right]^{-1/2}\cdot$ (83)

Inserting these dependences T(y) and U(y) in Eq. (80) yields the nonlinear synchrotron radiation intensity at any time y.

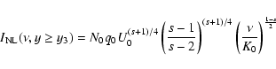
In the following we limit our discussion to the case of steep spectral indices s>2 and leave the case of flat spectral indices to the interested reader.

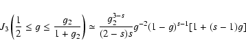
At times $y\le y_3=(s-2)\gamma _1^{s-3}/q_0$, we find T=U0y with the constant

 \begin{displaymath}U_0={q_0\over (s-2)\gamma _1^{s-2}}
\end{displaymath} (84)

so that

\begin{displaymath}I_{\rm NL}(\nu ,y\le y_3)=N_0q_0U_0^{(s+1)/4}
\left({\nu \ove...
...\over 2}} \left(1- \sqrt{\nu \over K_0U_0^{1/2}}T\right)^{s-2}
\end{displaymath}


 \begin{displaymath}\quad \quad \quad \quad \quad \quad \quad\times H[y]H\left[\n...
..._0^{1/2}\gamma _2^2\over (1\!+\!\gamma _2T)^2}\!-\!\nu \right]
\end{displaymath} (85)

with the abbreviation

 \begin{displaymath}N_0={Lm_{\rm e} c^3\sigma _{\rm T} {e}_B\over 6\pi K_0}\cdot
\end{displaymath} (86)

At late times $y\ge y_3$, we find

\begin{displaymath}U(y)={q_0\over (s-1)\gamma _1^{s-1}T(y)}={(s-2)U_0\over (s-1)\gamma _1T(y)},\;\;
\end{displaymath}


 \begin{displaymath}T(y)=\left[{2q_0\over s-1}x_1^{s-1}y+{3-s\over s-1}x_1^2\right]^{1/2}
\end{displaymath} (87)

so that

\begin{displaymath}I_{\rm NL}(\nu ,y\ge y_3)=N_0q_0U_0^{(s+1)/4}\left({s-1\over s-2}\right)^{(s+1)/4}\left({\nu \over K_0}\right)^{{1-s\over 2}}
\end{displaymath}


 
                             $\textstyle \times$ $\displaystyle \left(\gamma _1T\right)^{-(s+1)/4}
\left(1- \left({(s-1)\nu ^2\over (s-2)K_0^2U_0\gamma _1^4}\right)^{1/4}(\gamma _1T)^{5/4}\right)^{s-2}$  
  $\textstyle \times$ $\displaystyle H\left[\nu -{K_0U_0^{1/2}\gamma _1^2\over (1+\gamma _1T)^2}\sqrt{s-2\over (s-1)\gamma _1T}\right]$  
  $\textstyle \times$ $\displaystyle H\left[{K_0U_0^{1/2}\gamma _2^2\over (1+\gamma _2T)^2}\sqrt{s-2\over (s-1)\gamma _1T}-\nu \right].$ (88)

Here it is convenient to substitute $x=\gamma _1T$ and to introduce the normalised frequency

 \begin{displaymath}f\equiv {\nu \over K_0U_0^{1/2}\gamma _1^2}\cdot
\end{displaymath} (89)

Equations (85) and (88) then read
 
                      $\displaystyle I_{\rm NL}(f ,x\le 1)$ = $\displaystyle {N_0q_0U_0^{1/2}\over \gamma _1^{s-1}}f^{{1-s\over 2}}
\left(1- f^{1/2}x\right)^{s-2}H[x]$  
  $\textstyle \times$ $\displaystyle H\left[f -(x+1)^{-2}\right]H\left[(x+g_2^{-1})^{-2}-f\right]$ (90)

and
 
                            $\displaystyle I_{\rm NL}(f ,x$ > $\displaystyle 1)={N_0q_0U_0^{1/2}\over \gamma _1^{s-1}}\left[{s-2\over s-1}\right]^{{s+1\over 4}}$  
  $\textstyle \times$ $\displaystyle f^{{1-s\over 2}}x^{-{s+1\over 4}}
\left(1- \left({s-1\over s-2}\right)^{1/4}f^{1/2}x^{5/4}\right)^{s-2}$  
  $\textstyle \times$ $\displaystyle H\left[f \!-\!{({s-2\over s-1})^{1/2}\over x^{1/2}(x\!+\!1)^2}\ri...
...\left[{({s-2\over s-1})^{1/2}\over x^{1/2}(x\!+\!g_2^{-1})^2}\!\!-\!\!f\right].$ (91)

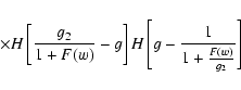
The intensity distribution (90) at early times provides non-zero contributions for normalised frequencies $f\ge 1/4$. Apart from different overall, frequency, and time normalisations, its functional behaviour is identical to the linear cooling intensity distribution (74).

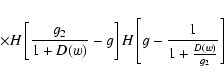
Nonlinear cooling behaviour only occurs at late time x>1 through the second intensity distribution (91), which is non-zero only for frequencies f<f0 where

 \begin{displaymath}f_0=\left({s-1\over s-2}\right)^{1/2}\left(1+g_2^{-1}\right)^{-2},
\end{displaymath} (92)

which is lose to but smaller than unity. Hence, for frequencies $f\ge 1$ we will obtain a functional behaviour identical to the linear cooling case described by the first intensity distribution (90). For low frequencies f<1/4, only the second intensity distribution (91) contributes, which is markedly different from the linear behaviour.

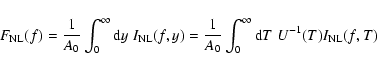
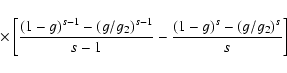
For the nonlinear synchrotron fluence, we infer

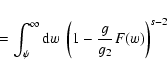
\begin{displaymath}F_{\rm NL}(f)={1\over A_0}\int_0^\infty {\rm d}y\; I_{\rm NL}...
...{1\over A_0}\int_0^\infty {\rm d}T\; U^{-1}(T)I_{\rm NL}(f ,T)
\end{displaymath}


\begin{displaymath}\quad={N_0q_0f^{{1-s\over 2}}\over A_0\gamma _1^{s}U_0^{1/2}}
\Biggl(\int_0^1{\rm d}x~\left(1- f^{1/2}x\right)^{s-2}
\end{displaymath}


\begin{displaymath}\quad\times~ H\left[f -(x+1)^{-2}\right]H\left[(x+g_2^{-1})^{-2}-f\right]
\end{displaymath}


\begin{displaymath}\quad+~\left[{s-2\over s-1}\right]^{{s-3\over 4}}\int_1^\inft...
...4}}
\left(1- ({s-1\over s-2})^{1/4}f^{1/2}x^{5/4}\right)^{s-2}
\end{displaymath}


 \begin{displaymath}\quad\times~ H\left[f \!-\!{({s-2\over s-1})^{1/2}\over x^{1/...
...over s-1})^{1/2}\over x^{1/2}(x+g_2^{-1})^2}-f\right]
\Biggr),
\end{displaymath} (93)

which we evaluate in the two frequency regimes f>1 and $f\ll~1/4$.

For frequencies f>1, only the first term in Eq. (93) contributes yielding

 \begin{displaymath}F_{\rm NL}(f>1)=
{N_0q_0\over A_0(s-1)\gamma _1^{s-1}U_0^{1/2}}f^{-{s\over 2}} \left[1-(f/g_2^2)^{{s-1\over 2}}\right],
\end{displaymath} (94)

which apart from the overall normalisation ( ${\propto} q_0^{1/2}$) and the different frequency normalisation, exhibits the linear cooling frequency dependence (compare with Eq. (75b)).

For frequencies $f\ll 1/4$ only the second term in Eq. (93) contributes. The two Heaviside functions in the second term limit the range of x to $X_1\le x\le X_2$ with

\begin{displaymath}X_1^{1/2}(X_1+1)^2={({s-2\over s-1})^{1/2}\over f},
\end{displaymath}


 \begin{displaymath}X_2^{1/2}(X_2+g_2^{-1})^2={({s-2\over s-1})^{1/2}\over f}\cdot
\end{displaymath} (95)

For $f\ll 1/4$ we find $X_2>X_1\gg 1$ so that

 \begin{displaymath}X_1\simeq {({s-2\over s-1})^{1/5}\over f^{2/5}}-1,\;\;\;
X_2\simeq {({s-2\over s-1})^{1/5}\over f^{2/5}}-g_2^{-1}.
\end{displaymath} (96)

The nonlinear synchrotron fluence then is

 \begin{displaymath}F_{\rm NL}(f\ll 0.25)=
{N_0q_0\over A_0\gamma _1^{s}U_0^{1/2}...
...{s-3\over 4}}f^{{1-s\over 2}}
\int _{X_1}^{X_2}{\rm d}x\; g(x)
\end{displaymath} (97)

where

 \begin{displaymath}g(x)=x^{{3-s\over 4}}\left(1- \left({s-1\over s-2}\right)^{1/4}f^{1/2}x^{5/4}\right)^{s-2},
\end{displaymath} (98)

which we evaluate approximately as
 
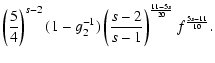
                     $\displaystyle \int _{X_1}^{X_2}{\rm d}x\; g(x)$ $\textstyle \simeq$ (X2-X1)g(X1)  
  $\textstyle \simeq$ $\displaystyle \left({5\over 4}\right)^{s-2}(1-g_2^{-1})
\left({s-2\over s-1}\right)^{{11-5s\over 20}}f^{{5s-11\over 10}}.$ (99)

For the fluence (97) at low frequencies, we find
 
$\displaystyle F_{\rm NL}(f\ll 0.25)\simeq
\left({5\over 4}\right)^{s-2}{N_0q_0\over A_0\gamma _1^{s}U_0^{1/2}}\left[{s-2\over s-1}\right]^{-1/5}f^{-3/5}.$     (100)

Independently from the spectral index s of the injected power law, the nonlinear synchrotron fluence at low frequencies approaches the same frequency spectral index  $\alpha _{\rm NL}=0.6$.

It is interesting to note that this behaviour of the linear and nonlinear synchrotron fluence from electrons, injected with a steep injection spectrum (s>2) at low frequencies, is identical to the behaviour of the linear and nonlinear synchrotron fluence from monoenergetically injected electrons discussed in SL. Again the nonlinear fluence behaviour only occurs at frequencies much lower than the characteristic synchrotron frequencies  $\nu _s\gamma _1^2$ or $K_0U_0^{1/2}\gamma _1$, respectively, where the nonlinear fluence shows a steeper (by $\Delta \alpha =0.1$) power-law behaviour ( ${\propto}\nu ^{-0.6}$) than the linear fluence ( ${\propto}\nu ^{-0.5}$).

9 Summary and conclusions

In powerful cosmic nonthermal radiation sources with dominant magnetic-field self generation, magnetic field generation at almost equipartition stength by relativistic plasma instabilities operates as fast as the acceleration or injection of ultra-high energy radiating electrons in these sources. Then the magnetic field strength becomes time-dependent and adjusts to the actual kinetic energy density of the radiating electrons in these sources. As a consequence the synchrotron radiation cooling of individual relativistic electrons exhibits a nonlinear behaviour because of the dependence of the magnetic energy density on the actual kinetic energy density, which itself decreases due to the time evolution of the electron number density.

For the case of instantaneous injection of power-law distributed electrons, we have solve this nonlinear kinetic equation for the intrinsic temperoral evolution of relativistic electrons. We demonstrate that the nonlinear solution for the differential electron number density depends on a new time variable T(t) that is related to the intrinsic time t by a first-order nonlinear differential equation. We solved this nonlinear differential equation approximately at early, intermediate and late times to construct the T(t) relation at all times after injection. The properties of the resulting approximate nonlinear electron density show significant differences from the standard linear solution for constant non-equipartition magnetic-field energy density such as the different time behaviour of the upper and lower cut-offs of the electron distribution.

By time-integration we also calculated the differential electron fluence as a function of electron energy and compared it to the linear fluence. For large spectral indices s>2 of the injected power law, the nonlinear fluence exhibits a weaker break at the lower injected electron cut-off $\gamma_1$ than the linear fluence. For small spectral indices 1<s<2, the nonlinear fluence shows no break at all and approaches a ${\propto}\gamma ^{-3}$ power law at all energies below  $\gamma_2/2$.

For power law injection under steady-state conditions. we demonstrated that the nonlinear and linear electron distribution functions exhibit the same dependence on the Lorentz factor of the electrons. However, under equipartition conditions, their absolute values are different. The nonlinear solution depends on the injection rate ( ${\propto} q_0^{1/2}$) of electrons, whereas the linear solution is independent from q0. For electron radiation processes not subject to equipartition conditions, such as inverse Compton scattering of ambient photon gases and relativistic bremsstrahlung, the energy dependences of the electron number density and the electron fluence can be used directly to infer the frequency dependence of the fluxes and fluences of the generated photons.

We also calculated the optically thin synchrotron intensity and fluence spectra taking into account the time-dependence in the nonlinear cooling case of the magnetic field strength due to the partition condition. For steep spectral indices s>2, we demonstrated that fluence differences due to the nonlinear cooling from the linear cooling case only occur at small synchrotron frequencies. In this frequency range, the linear and nonlinear fluence spectral behaviours are identical to the behaviour shown by monoenergetically injected electrons. The nonlinear synchrotron fluence shows a steeper (by $\Delta \alpha =0.1$) power-law behaviour ( ${\propto}\nu ^{-0.6}$) than the linear fluence ( ${\propto}\nu ^{-0.5}$).

Acknowledgements
We thank the referee for fruitful comments that helped to improve the manuscript. We thank Michael Zacharias for a careful checking of the manuscript. This work was partially supported by the German Ministry for Education and Research (BMBF) through Verbundforschung Astroteilchenphysik grant 05 CH5PC1/6 and the Deutsche Forschungsgemeinschaft through grant Schl 201/16-2.

References

 

  
Online Material

Appendix A: Solution of electron kinetic equation for nonlinear cooling

Under equipartition conditions, the kinetic equation reads

 \begin{displaymath}{\partial n\over \partial t} - A_0\left[\int_0^\infty {\rm d}...
...\gamma ^{-s}H[\gamma _2-\gamma ]H[\gamma -\gamma _1]\delta (t)
\end{displaymath} (101)

with the abbreviation constant A0. Substitute y=A0t and set $S=\gamma ^2n$ to obtain

 \begin{displaymath}{\partial S\over \partial y} -
\left[\int_0^\infty {\rm d}\g...
...amma ^{2-s}H[\gamma _2-\gamma ]H[\gamma -\gamma _1]\delta (y).
\end{displaymath} (102)

Using $x=1/\gamma $ as independent variable, we find with $x_1=\gamma _1^{-1}$ and $x_2=\gamma _2^{-1}$

 \begin{displaymath}{\partial S\over \partial y} \!+\!{\partial S\over \partial x...
...x~ x^{-1}S(x, y)\right]=
q_0x^{s-2}H[x-x_2]H[x_1-x]\delta (y).
\end{displaymath} (103)

Now define T through

 \begin{displaymath}{{\rm d}T\over {\rm d}y}=U(y)=\int_0^\infty {\rm d}x x^{-1}S(x, y)
\end{displaymath} (104)

so that

 \begin{displaymath}T(y)=\int_0^y{\rm d} b U(b).
\end{displaymath} (105)

Then Eq. (103) is just

 \begin{displaymath}{\partial S\over \partial T}+{\partial S\over \partial x}=q_0x^{s-2}H[x-x_2]H[x_1-x]\delta (T),
\end{displaymath} (106)

which is solved by the method of characteristics: set $x-T=\xi$ (i.e. $x=T +\xi$), implying

\begin{displaymath}{\partial \over \partial T}\left\vert _x={\partial \over \par...
...partial x}\right\vert _{\rm T}={\partial \over \partial \xi },
\end{displaymath}

so that Eq. (106) becomes
 
                              $\displaystyle {\partial S\over \partial T}$ = $\displaystyle q_0(T+\xi )^{s-2}H[T+\xi -x_2]H[x_1-T-\xi ]\delta (T)$  
  = $\displaystyle q_0\xi ^{s-2}H[\xi -x_2]H[x_1-\xi ]\delta (T)$ (107)

with the solution
 
                           S(x,T) = $\displaystyle S_h(\xi )+q_0\xi ^{s-2}H[\xi -x_2]H[x_1-\xi ]H(T)$  
  = Sh(x-T)+q0H[T]q0(x-T)s-2  
  $\textstyle \quad\times$ H[x-T-x2]H[x1+T-x]. (108)

Here, $S_h(\xi)$ is any solution of $\xi =x-T$ determined by the boundary condition S(x=0,T)=0. We derive

Sh(-T)=-q0H[T](-T)s-2H[-T-x2]H[x1+T]

or

 
Sh(z)=-q0H[-z]zs-2H[z-x2]H[x1-z]. (109)

The solution (108) thus becomes
 
$\displaystyle S(x,T)=q_0(x-T)^{s-2}H[x-T-x_2]H[x_1+T-x] \left(H[T]-H[T-x]\right).$     (110)

The final step is to calculate explicitly the time variable T as a function of y. Use Eq. (110) in Eq. (104) to write
 
                             $\displaystyle {{\rm d}T\over {\rm d}y}$ = $\displaystyle U=\int_0^\infty {\rm d}x x^{-1}S(x, y)$  
  = $\displaystyle q_0H[T]\int_0^\infty {\rm d}x x^{-1}(x-T)^{s-2}H[x-T-x_2]H[x_1+T-x]~$  
    $\displaystyle -q_0\int_0^T {\rm d}x x^{-1}(x-T)^{s-2}H[x-T-x_2]H[x_1+T-x].$ (111)

For $T\ge 0$ the second integral vanishes because x1+T and x2+T, appearing in the arguments of the Heaviside functions, are always larger than T so that
 
                    $\displaystyle {{\rm d}T\over {\rm d}y}$ = $\displaystyle q_0\int_{T+x_2}^{T+x_1}{\rm d}x x^{-1}(x-T)^{s-2}$  
  = $\displaystyle q_0\int_{x_2}^{x_1}{\rm d}w (w+T)^{-1}w^{s-2}.$ (112)

Substituting w=Tv then yields

 \begin{displaymath}T^{2-s}{{\rm d}T\over {\rm d}y}=q_0\int_{x_2/T}^{x_1/T}{\rm d}v {v^{s-2}\over v+1},
\end{displaymath} (113)

which, for s>1, can be solved in terms of hypergeometric functions (Gradstheyn & Ryzhik 1965, 3.194.5)
 
$\displaystyle T{{\rm d}T\over {\rm d}y}={q_0\over s-1}\Bigl[x_1^{s-1}\;_2F_1\le...
...over T}\right)
-x_2^{s-1}\; _2 F_1\left(1,s-1;s;-{x_2\over T}\right)\Bigr]\cdot$     (114)

For any value of s Eq. (114) yields a first order, in general nonlinear, differential equation whose solution, with the initial condition T=0 for y=0, then provides the relation between T and y in terms of quadratures. In the whole range of values of T or y, respectively, these integrals have to be solved numerically. Then one can use these results to write the solution (110) as a function of x and y.

For $x_1\to \infty $ and $x_2\to 0$ (i.e. unlimited injected power law), one can work out exactly the T to y relation as

 \begin{displaymath}T^{3-s}=q_0(3-s)\Gamma (2-s)\Gamma (s-1)y.
\end{displaymath} (115)

Appendix B: Approximate analytical methods

For a broad range of injected power laws $x_2\ll x_1$ the integral in Eq. (113),

 \begin{displaymath}T^{2-s}{{\rm d}T\over {\rm d}y}=q_0\int_{x_2/T}^{x_1/T}{\rm d}v {v^{s-2}\over v+1}
\end{displaymath} (116)

can be solved approximately in the three limiting cases:
(1)
small time limit $T \le x_2 \ll x_1$;
(2)
intermediate time limit $x_2 \le T \le x_1$;
(3)
late time limit $x_2 \ll x_1\le T$;
respectively. We consider each case in turn.

B.1. Short time limit $T \le x_2 \ll x_1$

In this limit we use the approximation $T \ll x_2 \ll x_1$ corresponding to

\begin{displaymath}{x_1\over T}\gg {x_2\over T}\gg 1.
\end{displaymath}

We then obtain for Eq. (116) approximately

 \begin{displaymath}T^{2-s}{{\rm d}T\over {\rm d}y}\simeq q_0\int_{x_2/T}^{x_1/T}...
...v^{s-3}
={q_0\over s-2}T^{2-s}\left[x_1^{s-2}-x_2^{s-2}\right]
\end{displaymath} (117)

implying the linear relation

 \begin{displaymath}T(y)\simeq {q_0\over s-2} \left[x_1^{s-2}-x_2^{s-2}\right]y
\end{displaymath} (118)

for short times, which behaves differently for 1<s<2 and s>2 respectively:

 \begin{displaymath}T(y)\simeq q_0y
\cases{{x_2^{s-2}\over 2-s} & {\rm for} $1<s<2$\space \cr
{x_1^{s-2}\over s-2} & {\rm for} $s>2.$\space \cr}
\end{displaymath} (119)

B.2. Intermediate time limit $x_2 \le T \le x_1$

In this limit we use the approximation $x_2\ll T\ll x_1$ corresponding to

\begin{displaymath}{x_2\over T}\ll 1\ll {x_1\over T}\cdot
\end{displaymath}

We then obtain for Eq. (116) approximately

 \begin{displaymath}T^{2-s}{{\rm d}T\over {\rm d}y}\simeq q_0\left[{1-(x_2/T)^{s-1}\over s-1}
+\; {(x_1/T)^{s-2}-1\over s-2}\right]\cdot
\end{displaymath} (120)

For values 1<s<2 Eq. (120) approximately reduces to

\begin{displaymath}T^{2-s}{{\rm d}T\over {\rm d}y}={1\over 3-s}{{\rm d}\over {\rm d}y}T^{3-s}\simeq {q_0\over (2-s)(s-1)},
\end{displaymath}

yielding

 \begin{displaymath}T(y)=\left[{3-s\over (2-s)(s-1)}q_0y+~ c_1\right]^{1/(3-s)},
\end{displaymath} (121)

where the integration constant c1 has to be determined by matching solution (121) at T=x2, corresponding to y=y2, to solution (119). We find

 \begin{displaymath}c_1=-{2(2-s)\over s-1}x_2^{3-s},\;\;\; y_2={2-s\over q_0}x_2^{3-s}
\end{displaymath} (122)

so that
 
$\displaystyle T(y>y_2, s<2)\!\simeq\! \left[{3-s\over (2-s)(s-1)}q_0y-~ {2(2-s)\over s-1}x_2^{3-s}
\right]^{1/(3-s)}\cdot$     (123)

Likewise, for s>2 we approximate Eq. (120) as

\begin{displaymath}T^{2-s}{{\rm d}T\over {\rm d}y}\simeq {q_0\over s-2}(x_1/T)^{s-2}
\end{displaymath}

yielding the linear relation

 \begin{displaymath}T(y)\simeq {q_0\over s-2}x_1^{s-2}y+~ c_2
\end{displaymath} (124)

which, apart from the integration constant c2, is identical to the short time solution (119). The matching of the two solutions (119) and (124) at T=x2 in this case then yields c2=0, i.e.

 \begin{displaymath}T(y,s>2)\simeq {q_0\over s-2}x_1^{s-2}y.
\end{displaymath} (125)

B.3. Late time limit $ {T\ge x_1>x_2}$

In this limit we use the approximation $T\gg x_1\gg x_2$ corresponding to

\begin{displaymath}{x_2\over T}\ll {x_1\over T}\ll 1.
\end{displaymath}

We then obtain for Eq. (116) approximately for all spectral index values s>1
 
                    $\displaystyle T^{2-s}{{\rm d}T\over {\rm d}y}$ $\textstyle \simeq$ $\displaystyle {q_0\over s-1}T^{1-s}\left[x_1^{s-1}-x_2^{s-1}\right]$  
  $\textstyle \simeq$ $\displaystyle {q_0\over s-1}T^{1-s}x_1^{s-1}$ (126)

implying the quadratic relation

 \begin{displaymath}T(y)\simeq \left[{2q_0x_1^{s-1}\over s-1}y+\; c_3(s)\right]^{1/2}.
\end{displaymath} (127)

The integration constant c3 is fixed by matching the solution (127) at T=x1, corresponding to y=y1, to the solutions (123) and (125) for s<2 and s>2, respectively. For s<2 we derive

\begin{displaymath}c_3(s<2)={s-1\over 3-s}x_1^2-{4(2-s)^2\over (3-s)(s-1)}x_2^{3-s}x_1^{s-1},\;\;\;
\end{displaymath}


 \begin{displaymath}y_1(s<2)={(2-s)(s-1)\over (3-s)q_0}\left[x_1^{3-s}+{2(2-s)\over s-1}x_2^{3-s}\right],
\end{displaymath} (128)

whereas for s>2

 \begin{displaymath}c_3(s>2)={3-s\over s-1}x_1^2,\;\;\; y_1(s>2)={s-2\over q_0}x_1^{3-s}.
\end{displaymath} (129)

B.4. Approximate solutions T(y)

Collecting terms we obtain the approximate solutions as

 \begin{displaymath}T(y,s>2)\simeq
\cases{{q_0\over s-2}x_1^{s-2}y & {\rm for} $...
...1}x_1^2} & {\rm for} $y\ge {s-2\over q_0}x_1^{3-s}$\space \cr}
\end{displaymath} (130)

and

\begin{displaymath}T(0\le y\le y_2,s<2)\simeq {q_0\over 2-s}x_2^{s-2}y
\end{displaymath}


\begin{displaymath}T(y_2\le y\le y_1,s<2)\simeq \left[{3-s\over (2-s)(s-1)}q_0y-\! {2(2-s)\over s-1}x_2^{3-s}\right]^{1/(3-s)}\!\!,
\end{displaymath}


 \begin{displaymath}T(y\ge y_2,s<2)\simeq
\sqrt{{2q_0\over s-1}x_1^{s-1}y+ {s-1\over 3-s}x_1^2-{4(2-s)^2\over (3-s)(s-1)}x_2^{3-s}x_1^{s-1}}
\end{displaymath} (131)

with

 \begin{displaymath}y_1={(2-s)(s-1)\over (3-s)q_0}\left[ x_1^{3-s}+{2(2-s)\over s-1}x_2^{3-s}\right]
\end{displaymath} (132)

and

 \begin{displaymath}y_2={2-s\over q_0}x_2^{3-s}.
\end{displaymath} (133)

B.5. Special case s=2

For s=2 Eq. (116) holds which can be approximated as

 
                             $\displaystyle {1\over q_0}{{\rm d} T\over {\rm d} y}$ = $\displaystyle \ln {T+x_1\over T+x_2}$  
  $\textstyle \simeq$ $\displaystyle \left\{\begin{array}{ll}\ln {x_1\over x_2} & \mbox{for } T\le x_2...
...\over T})\simeq {x_1\over T} & \mbox{for } x_2 \ll x_1\le T. \end{array}\right.$ (134)

We obtain for $T \le x_2 \ll x_1$

 \begin{displaymath}T(y)\simeq q_0y\ln {x_1\over x_2}
,
\end{displaymath} (135)

whereas for $x_2 \le T \le x_1$ in terms of the logarithmic integral

 \begin{displaymath}\hbox{li }\left({T\over x_1}\right)\simeq c_4-{q_0y\over x_1}
\end{displaymath} (136)

and for late times $T\ge x_1\gg x_2$

 \begin{displaymath}T(y)\simeq \sqrt{2q_0x_1y+c_5}.
\end{displaymath} (137)

Adjusting the integration constants at the match points T=x2 (corresponding to y=y2) and T=x1 (corresponding to y=y1) we obtain

\begin{displaymath}y_2={x_2\over q_0}\ln {x_1\over x_2},
\end{displaymath}


 \begin{displaymath}y_1={x_1\over q_0}\left[{x_2\over x_1}\ln {x_1\over x_2}+\hbo...
... }\left({x_2\over x_1}\right) -\hbox{li }\left(1\right)\right]
\end{displaymath} (138)

and

 \begin{displaymath}c_4=\hbox{li }\left({x_2\over x_1}\right)+{x_2\over x_1}\ln {x_1\over x_2},\;\;\;
c_5=x_1^2-2q_0x_1y_1.
\end{displaymath} (139)

Collecting terms we derive

 \begin{displaymath}T(y\le y_2)\simeq q_0y\ln {x_1\over x_2}
,
\end{displaymath} (140)

for $y_2\le y\le y_1$

 \begin{displaymath}\hbox{li }\left({T\over x_1}\right)\simeq
\hbox{li }\left({x...
...r x_1}\right)+{x_2\over x_1}\ln {x_1\over x_2}-{q_0y\over x_1}
\end{displaymath} (141)

and for late times

 \begin{displaymath}T(y\ge y_1)\simeq \sqrt{x_1^2+2q_0x_1(y-y_1)}.
\end{displaymath} (142)

Appendix C: Calculation of the nonlinear fluence

C.1. Steep injection power laws s>2

With the nonlinear distribution functions (20)-(21) for large spectral indices s>2 with the substitutions $z=t/t_{\rm L}$, $g=\gamma /\gamma _1$ and $g_2=\gamma _2/\gamma _1$, we find

 \begin{displaymath}N_{\rm NL}(g, s>2)=q_0t_{\rm L}\gamma _1^{-s}g^{-s}\left[I_1(g)+I_2(g)\right]
\end{displaymath} (143)

with

 \begin{displaymath}I_1(g)=\int_0^1{\rm d}z\; (1-{\rm g}z)^{s-2}H\left[z-\left({1...
...t)\right]
H\left[\left({1\over g}-{1\over g_2}\right)-z\right]
\end{displaymath} (144)

and
 
$\displaystyle I_2(g)=\int_1^\infty {\rm d}z\; (1-g A(z))^{s-2}
H\left[A(z)-\lef...
...\over g}-1\right)\right]H\left[\left({1\over g}-{1\over g_2}\right)-A(z)\right]$     (145)

where

 \begin{displaymath}A(z)=\sqrt{{2(s-2)\over s-1}z+{3-s\over s-1}}\cdot
\end{displaymath} (146)

For the integral (145) we find

 \begin{displaymath}I_2=\int_1^\infty {\rm d}z\; (1-gA(z))^{s-2} H[z-L_1(g,s)]H[M_1(g,s)-z]
\end{displaymath} (147)

with

\begin{displaymath}L_1(g,s)={s-1\over 2(s-2)}\left[\left({1\over g}-1\right)^2-{3-s\over s-1}\right],\;\;~\;
\end{displaymath}


 \begin{displaymath}M_1(g,s)={s-1\over 2(s-2)}\left[\left({1\over g}-{1\over g_2}\right)^2-{3-s\over s-1}\right]>L_1(g,s).
\end{displaymath} (148)

After inspection of the arguments of the Heaviside step functions we obtain for the contribution (144)
 
$\displaystyle I_1(g)={1\over s-1}
\left\{\begin{array}{ll}0 & \mbox{for }g>g_2 ...
...er 2}\le g<{g_2\over 1+g_2} \cr
0 & \mbox{for } g<{1\over 2} \end{array}\right.$     (149)

and
 
                     $\displaystyle I_2\left(g>{g_2\over 1+g_2}\right)$ = 0,  
$\displaystyle I_2\left({1\over 2}<g\le {g_2\over 1+g_2}\right)$ = $\displaystyle {s-1\over s-2}{1\over g^2}
\left[{(1-g)^{s-1}-g^{s-1}g_2^{1-s}\over s-1}\right.$  
  $\textstyle \quad -$ $\displaystyle \left.{(1-g)^s-g^{s}g_2^{-s}\over s}\right]$  
$\displaystyle I_2(g\le {1\over 2})$ = $\displaystyle {g^{s-3}\over s-2}\left[1\!-\!g_2^{1\!-\!s}\!-\!{s-1\over s}g(1\!-\!g_2^{-s})\right]\!.$ (150)

Collecting terms in Eq. (143), we derive
 
                   $\displaystyle N_{\rm NL}(\gamma >\gamma _2, s>2)$ = 0,  
$\displaystyle N_{\rm NL}(\gamma _1< \gamma \le \gamma _2, s>2)$ = $\displaystyle {q_0t_{\rm L}\gamma _1\over s-1}\gamma ^{-s-1}
\left[1-({\gamma \over \gamma _2})^{s-1}\right]$ (151)


 
$\displaystyle N_{\rm NL}({\gamma _2\over 1+\gamma _2}<\gamma \le \gamma _1, s>2)$ = $\displaystyle {q_0t_{\rm L}\gamma _1^{2-s}\over s-1}\gamma ^{-2}
\left[1-({\gamma _1\over \gamma _2})^{s-1}\right]$ (152)


\begin{displaymath}%
N_{\rm NL}\left({\gamma _1\over 2}<\gamma \le {\gamma _2\over 1+\gamma _2}, s>2\right)=
q_0t_{\rm L}\gamma ^{-s}
\end{displaymath}


\begin{displaymath}\quad\quad\times \Bigl[{1\over g(s-1)}[g^{s-1}-(1-g)^{s-1}]
+ {s-1\over g^2(s-2)}
\end{displaymath}


 \begin{displaymath}\quad\quad\times \Bigl[{(1-g)^{s-1}-g^{s-1}g_2^{1-s}\over s-1}-{(1-g)^s-g^{s}g_2^{-s}\over s}\Bigr] \Bigr]
\end{displaymath} (153)

and
 
                    $\displaystyle N_{\rm NL}(\gamma \le {\gamma _1\over 2}, s>2)$ = $\displaystyle {q_0t_{\rm L}\gamma _1^{3-s}\over s-2}\gamma ^{-3}$  
    $\displaystyle \times \left(1-\left({\gamma _1\over \gamma _2}\right)^{s-1}-
{s-...
... s}{\gamma \over \gamma _1}\left[1-({\gamma _1\over \gamma _2})^s\right]\right)$  
  $\textstyle \simeq$ $\displaystyle {q_0t_{\rm L}\gamma _1^{3-s}\over s-2}\gamma ^{-3}\left(1-{s-1\over s}{\gamma \over \gamma _1}\right)\cdot$ (154)

C.2. Flat injection power laws 1<s<2

Likewise for flat injection spectra we use the nonlinear distribution function (27)-(29) with the substitutions $w=t/t_{\rm M}$ and $g=\gamma /\gamma _1$ to obtain for the fluence (44)

 \begin{displaymath}N_{\rm NL}(\gamma , 1<s<2)=q_0t_{\rm M}\gamma _1^{-s}g^{-s} \left[J_1(g)+J_2(g)+J_3(g)\right]
\end{displaymath} (155)

with

\begin{displaymath}J_1(g)=\int_0^1{\rm d}w\; \left(1-{g\over g_2}w\right)^{s-2}H...
...{g_2\over 1+g}-w\right]H\left[g-{1\over 1+{w\over g_2}}\right]
\end{displaymath}


 \begin{displaymath}\!\!=\!\int_0^1{\rm d} w\; \left(1-{g\over g_2}w\right)^{s-2}...
...ft[{g_2-g\over g}-w\right]H\left[w-({g_2\over g}-g_2)\right]
,
\end{displaymath} (156)


\begin{displaymath}J_2(g)=\int_1^{\psi} {\rm d}w\; \left(1-{g\over g_2}D(w)\right)^{s-2}
\end{displaymath}


\begin{displaymath}\quad\quad\times H\left[{g_2\over 1+D(w)}-g\right]H\left[g-{1\over 1+{D(w)\over g_2}}\right]
\end{displaymath}


\begin{displaymath}=\int_1^{\psi} {\rm d}w\; \left(1-{g\over g_2}D(w)\right)^{s-2}
\end{displaymath}


\begin{displaymath}\quad\quad\times H\left[{g_2-g\over g}-D(w)\right]H\left[D(w)-({g_2\over g}-g_2)\right]
\end{displaymath}


\begin{displaymath}=\int_1^{\psi} {\rm d}w\; \left(1-{g\over g_2}D(w)\right)^{s-2}
\end{displaymath}


 \begin{displaymath}\quad\quad\times H[M_2(g,s)-w]H[w-L_2(g,s)]
\end{displaymath} (157)

and

\begin{displaymath}J_3(g)=\int_{\psi}^\infty {\rm d}w\; \left(1-{g\over g_2}F(w)\right)^{s-2}
\end{displaymath}


\begin{displaymath}\quad\quad\times
H\left[{g_2\over 1+F(w)}-g\right]H\left[g-{1\over 1+{F(w)\over g_2}}\right]
\end{displaymath}


\begin{displaymath}=\int_{\psi}^\infty {\rm d}w\; \left(1-{g\over g_2}F(w)\right)^{s-2}
\end{displaymath}


\begin{displaymath}\quad\quad\times
H\left[{g_2-g\over g}-F(w)\right]H\left[F(w)-\left({g_2\over g}-g_2\right)\right]
\end{displaymath}


\begin{displaymath}=\int_{\psi}^\infty {\rm d}w\; \left(1-{g\over g_2}F(w)\right)^{s-2}
\end{displaymath}


 \begin{displaymath}\quad\quad\times H\left[ M_3(g,s) - w \right]H\left[ w-L_3(g,s) \right]
\end{displaymath} (158)

with

 \begin{displaymath}\psi =t_{\rm k}/t_{\rm M}= {s-1\over 3-s} \left[ g_2^{3-s}+{2(2-s)\over s-1}\right]
\simeq {s-1\over 3-s}g_2^{3-s}
,
\end{displaymath} (159)

and

 \begin{displaymath}D(w)=\left({3-s\over s-1}w-{2(2-s)\over s-1}\right)^{1/(3-s)},
\end{displaymath} (160)


 
$\displaystyle F(w)=\Bigl[g_2^{s-1}\left[{2(2-s)\over s-1}w-{4(2-s)^2\over (3-s)(s-1)}\right]
+{s-1\over 3-s}g_2^2\Bigr]^{1/2}$     (161)


 \begin{displaymath}M_2(g,s)={s-1\over 3-s}\left({g_2-g\over g}\right)^{3-s}+{2(2-s)\over 3-s}
,
\end{displaymath} (162)


 \begin{displaymath}L_2(g,s)={s-1\over 3-s}\left({g_2\over g}-g_2\right)^{3-s}+{2(2-s)\over 3-s}
,
\end{displaymath} (163)


 
$\displaystyle M_3(g,s)={s-1\over 2(2-s)}\left((g_2^{1-s}({g_2-g\over g})^2-
{s-1\over 3-s}g_2^{3-s}\right)
+ {2(2-s)\over 3-s},$     (164)


 
$\displaystyle L_3(g,s)={s-1 \over 2(2-s)}\left( (g_2^{1-s}\left({g_2\over g}-g_2\right)^2-
{s-1\over 3-s}g_2^{3-s}\right)
+\; {2(2-s)\over 3-s}.$     (165)

Inspecting again the arguments of the Heaviside step functions for the first contribution (156), we derive

 \begin{displaymath}J_1(g)=
\left\{\begin{array}{ll}0 & \mbox{for } g>g_2 \cr
{g_...
...1 \cr
0 & \mbox{for }g<{g_2\over 1+g_2} \end{array}\right..
.
\end{displaymath} (166)

The second contribution (157) vanishes for g<(1/2) and g>(g2/2) but has nonvanishing values for $(1/2)\le g\le (g_2/2)$:

\begin{displaymath}J_2\left({g_2\over 1+g_2}\le g\le {g_2\over 2}\right)
\end{displaymath}


 \begin{displaymath}=(s-1)\left({g_2\over g}\right)^{3-s}\int_{g/g_2}^{1-(g/g_2)}{\rm d}x\; x^{s-2}(1-x)^{2-s}
\end{displaymath} (167)

and

 \begin{displaymath}J_2({1\over 2}\le g\le {g_2\over 1+g_2})=
(s-1)\left({g_2\over g}\right)^{3-s}\int_{1-g}^g{\rm d}x\; x^{s-2}(1-x)^{2-s}.
\end{displaymath} (168)

For 1<s<2 and x in the indicated range of integration the power series
$\displaystyle (1-x)^{2-s}=1+
\sum_{k\!=\!1}^\infty {(2\!-\!s)(1\!-\!s)\cdot \cdot \cdot (2-s-k+1)\over k!}(-1)^kx^k$      

is absolutely convergent. We then obtain for the contribution (168)

\begin{displaymath}J_2\left({1\over 2}\le g\le {g_2\over 1+g_2}\right)=\left ({g_2\over g}\right)^{3-s}\left[g^{s-1}-(1-g)^{s-1}\right]
\end{displaymath}


\begin{displaymath}\quad+(s-1)\left ( {g_2\over g}\right)^{3-s}\sum_{k=1}^\infty (-1)^k{(2-s)(1-s)\cdot \cdot \cdot (2-s-k+1)\over (s-1+k)k!}
\end{displaymath}


 \begin{displaymath}\quad\times \left[g^{s-1+k}-(1-g)^{s-1+k}\right].
\end{displaymath} (169)

Because g<1 and for $g_2\ll 1$ Eq. (169) is well approximated by the first leading term

 \begin{displaymath}J_2\left({1\over 2}\le g\le {g_2\over 1+g_2}\right)\simeq \left({g_2\over g}\right)^{3-s}\left[g^{s-1}-(1-g)^{s-1}\right].
\end{displaymath} (170)

Similarly, we find for the contribution (167)

\begin{displaymath}J_2\left ({g_2\over 1+g_2}\le g\le {g_2\over 2}\right)= \left...
...\over g_2}\right)^{s-1}-\left({g\over g_2}\right)^{s-1}\right]
\end{displaymath}


\begin{displaymath}+(s-1)\left({g_2\over g}\right)^{3-s}\sum_{k=1}^\infty (-1)^k{(2-s)(1-s)\cdot \cdot \cdot (2-s-k+1)\over (s-1+k)k!}
\end{displaymath}


 \begin{displaymath}\times \left[\left(1-{g\over g_2}\right)^{s-1+k}-\left({g\over g_2}\right)^{s-1+k}\right]\cdot
\end{displaymath} (171)

For $g\ll g_2$ we approximate Eq. (171) by its first term

 \begin{displaymath}J_2 \left({g_2\over 1+g_2}\le g\le {g_2\over 2}\right)
\simeq...
...\over g_2}\right)^{s-1}-\left({g\over g_2}\right)^{s-1}\right]
\end{displaymath} (172)

The third contribution (158) vanishes for g>g2/(1+g2) but has nonvanishing values for lower values of g. With the substitution x=1-(g/g2)F(w) we derive

\begin{displaymath}J_3\left({1\over 2}\le g\le {g_2\over 1+g_2}\right)=\int_{\psi}^{M_3}{\rm d}w\; \left(1-{g\over g_2}F(w)\right)^{s-2}
\end{displaymath}


\begin{displaymath}={s-1\over 2-s}g_2^{3-s}g^{-2}\int_{g/g_2}^{1-g}{\rm d}x~ (1-x)x^{s-2}
\end{displaymath}


\begin{displaymath}={s-1\over 2-s}g_2^{3-s}g^{-2}
\end{displaymath}


 \begin{displaymath}\quad\quad\quad\times \left[{(1-g)^{s-1}-(g/g_2)^{s-1}\over s-1}-{(1-g)^s-(g/g_2)^s\over s}\right]
\end{displaymath} (173)

and
 
                              $\displaystyle J_3\left(g\le {1\over 2}\right)$ = $\displaystyle \int_{L_3}^{M_3}{\rm d}w\; \left(1-{g\over g_2}F(w)\right)^{s-2}$  
  = $\displaystyle {s-1\over 2-s}g_2^{3-s}g^{-2}\int_{g/g_2}^g{\rm d}x~ (1-x)x^{s-2}$  
  = $\displaystyle {s\!-\!1\over 2\!-\!s}g_2^{3\!-\!s}g^{-2}\left[{g^{s-1}\!\!-\!\!(g/g_2)^{s-1}\over s\!-\!1}\!-\!
{g^s-(g/g_2)^s\over s}\right]\cdot$ (174)

Because g<1 and $g_2\gg 1$ we approximate (173) and (174) as

 \begin{displaymath}J_3\left({1\over 2}\le g\le {g_2\over 1+g_2}\right)
\simeq {g_2^{3-s}\over (2-s)s}g^{-2}(1-g)^{s-1}[1+(s-1)g]
\end{displaymath} (175)

and

 \begin{displaymath}J_3\left(g\le {1\over 2}\right)\simeq {g_2^{3-s}\over 2-s}g^{s-3}\left[1-{s-1\over s}g\right].
\end{displaymath} (176)

Collecting terms yields for the fluence (155)

 \begin{displaymath}N_{\rm NL}(g, 1<s<2)=q_0t_{\rm M} \gamma _1^{-s}J(g)
\end{displaymath} (177)

with
  
                              J(g>g2) = 0,  
$\displaystyle J\left({g_2\over 2}\le g\le g_2\right)$ = $\displaystyle {g_2\over s-1}g^{-(s+1)}\left[1-(g/g_2)^{s-1}\right],$ (178)
$\displaystyle J\left(1\le g\le {g_2\over 2}\right)$ = $\displaystyle g_2g^{-(s+1)}\Biggl[{1-(1-{g\over g_2})^{s-1}]\over s-1}$  
  $\textstyle \quad+$ $\displaystyle (g_2/g)^{2-s}\left(\left(1-{g\over g_2}\right)^{s-1}-\left({g\over g_2}\right)^{s-1}\right)\Biggr]$  
  $\textstyle \simeq$ $\displaystyle g_2^{3-s}g^{-3}\left( (1-{g\over g_2})^{s-1}-\left({g\over g_2}\right)^{s-1}\right)$ (179)

and

 \begin{displaymath}J\left(g\le {1\over 2}\right)\simeq {g_2^{3-s}\over 2-s}g^{-3}\left[1-{s-1\over s}g\right].
\end{displaymath} (180)



Copyright ESO 2008