![]() |
Figure 1:
Synthetic CMDs for Z=0.0002, Y=0.23, and three different ages: 500 Myr (black), 2 Gyr (red), and 11 Gyr (blue). For each
population,
|
| Open with DEXTER | |
![]() |
Figure 2: Comparison between present synthetic CMDs (red dots), without the inclusion of simulated photometric errors, and the observed ones of the globular clusters M 68, M 15, and M 30 (black dots). The assumed age is 11 Gyr, and the adopted chemical composition is Z=0.0002 and Y=0.23 (see text). The values of the distance modulus and the reddening obtained from the analysis are also indicated. |
| Open with DEXTER | |
![]() |
Figure 3:
Time evolution of selected integrated colours in the
standard UBVRIJHK filters
for models with
|
| Open with DEXTER | |
![]() |
Figure 4:
V-K colour distribution resulting from 100 simulations for a model with 100 Myr, Z=0.0002, and
|
| Open with DEXTER | |
![]() |
Figure 5:
Time evolution of
selected integrated colours for SSPs with
|
| Open with DEXTER | |
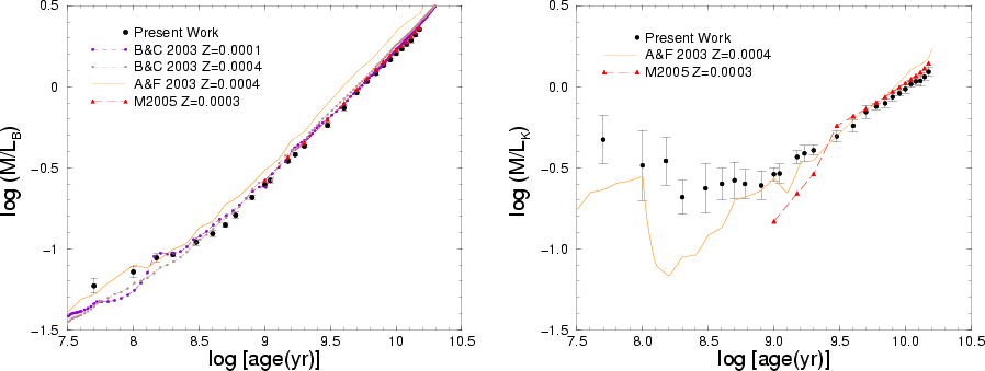
![]() |
Figure 6: Integrated colours (B-V, upper panels; V-K, lower panels) from recent papers: present models (black dots); Kurth et al. (1999, red Z=0.0001, green Z=0.0004 squares, solid line), Brocato et al. (2000, cyan dots), Anders & Fritze-v. Alvensleben (2003, orange solid line), Girardi et al. (2000, blue squares, short-dashed line), Zhang et al. (2002, pink circles, dotted line), Bruzual & Charlot (2003, violet Z=0.0001, brown Z=0.0004 circles, dashed line). Maraston (2005, red triangles, dashed line). |
| Open with DEXTER | |
![]() |
Figure 7:
Left panel: fraction of very low-mass stars (
|
| Open with DEXTER | |
![]() |
Figure 8:
Time behaviour of the logarithm of the cluster total mass
needed to reach
|
| Open with DEXTER | |
![]() |
Figure 9:
Time behaviour of the
|
| Open with DEXTER | |
![]() |
Figure 10:
Time evolution of
|
| Open with DEXTER | |
![]() |
Figure 11:
Time evolution of
|
| Open with DEXTER | |
![]() |
Figure 12:
Time evolution of
|
| Open with DEXTER | |