![]() |
Figure 1:
Schematic representation of the of the sLDF
for three different cases: main sequence only ( top), main sequence plus a constant post main sequence ( middle), and main sequence plus a bumpy post main sequence ( bottom). The position of the mean ( |
| Open with DEXTER | |
![]() |
Figure 2:
Top: isochrones in the
|
| Open with DEXTER | |
![]() |
Figure 3: Details of fast evolutionary phases in the V (solid line, left axis) and K (dotted-line, right axis) bands. Bottom panel: complete isochrones. Middle panels: blow-up of the mass axis, showing details of fast evolutionary phases at three different ages. Top panels: same as middle panels, with a more extreme blow up. The isochrone set is the same of Fig. 2. |
| Open with DEXTER | |
![]() |
Figure 4: Algorithm to obtain an approximate expression for a pLDF based on the Edgeworth's series. |
| Open with DEXTER | |
![]() |
Figure 5:
Top: |
| Open with DEXTER | |
![]() |
Figure 6:
Characterization of a pLDF based on Edgeworth's approximation to the second order and a gaussianity tolerance interval of |
| Open with DEXTER | |
![]() |
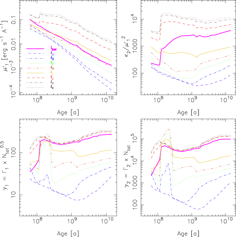
Figure 7:
Main parameters of the luminosity function in several photometric bands, obtained from the isochrones by Marigo & Girardi (2001) and adopting the IMF by Salpeter (1955) in the mass range 0.15-120 |
| Open with DEXTER | |
![]() |
Figure 8:
Salpeter's IMF (solid line) compared to two examples of distributed IMFs: rectangular (dashed,
|
| Open with DEXTER | |
![]() |
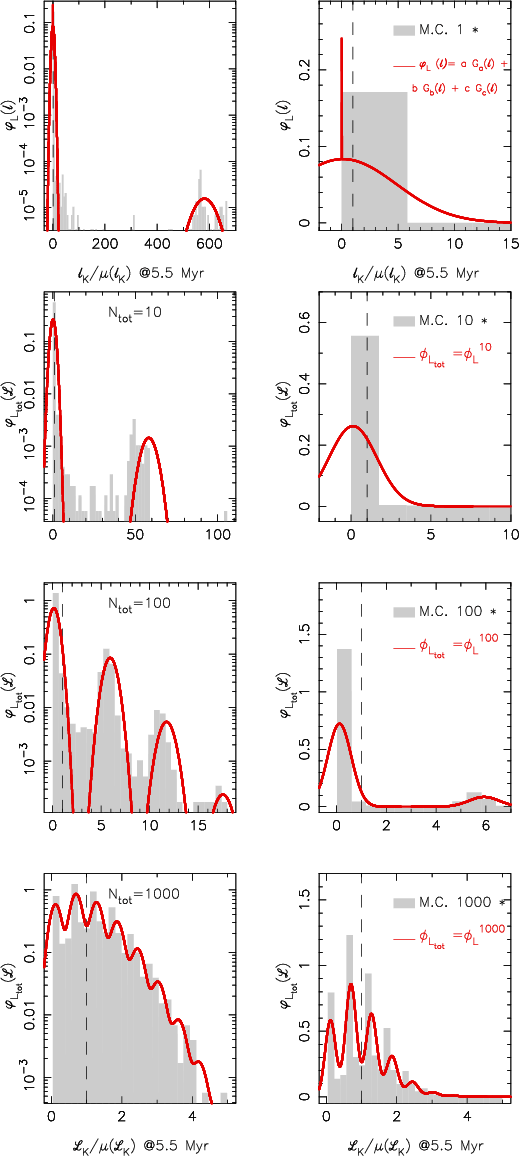
Figure 9:
Monte Carlo simulations of clusters at solar metallicity and 5.5 Ma in the K band for different values of
|
| Open with DEXTER | |
![]() |
Figure 10:
Comparison between the pLDFs obtained through sLDF convolutions (dashed line) and the Edgeworth's approximation (solid line) for clusters with different
|
| Open with DEXTER | |
![]() |
Figure 11:
|
| Open with DEXTER | |
![]() |
Figure 12:
Cumulants of the monochromatic spectral energy distribution for a 1 Ga luminosity function assuming a Salpeter (1955) IMF in the mass range 0.15-120 |
| Open with DEXTER | |
![]() |
Figure 13:
Luminosity distribution functions in V for clusters with the LMC metallicity, approximated by the Edgeworth's series, for several ages and cluster masses: 10
|
| Open with DEXTER | |
![]() |
Figure 14:
Main parameters of the luminosity function for several photometric bands obtained from the isochrones by Marigo & Girardi (2001) (bold lines) and Bertelli et al. (1994); Girardi et al. (2000) (light lines), assuming a Salpeter (1955) IMF in the mass range 0.15-120 |
| Open with DEXTER | |