![]() |
Figure 1:
Negative image of the cluster NGC 6218 of 180 sec duration in
the Bessell V band. North is up and East to the left. The field spans
|
| Open with DEXTER | |
![]() |
Figure 2:
Colour-magnitude diagram of an area of
|
| Open with DEXTER | |
![]() |
Figure 3:
Main sequence ridge line of NGC 6218 (solid curve) compared
with the theoretical isochrones of Baraffe et al. (1997; dashed line)
for an age of 10 Gyr and metallicity
|
| Open with DEXTER | |
![]() |
Figure 4: Individual CMDs of the four regions in which we have divided our NGC 6218 field. |
| Open with DEXTER | |
![]() |
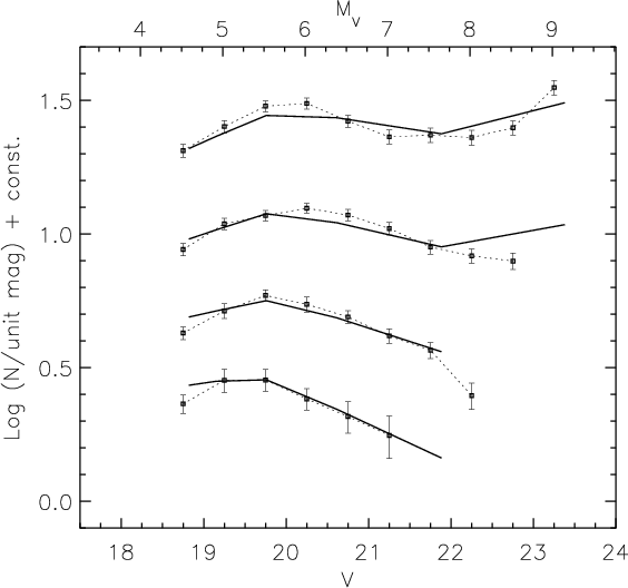
Figure 5:
The squares are the LF of the four regions in NGC 6218, after
correction for photometric incompleteness, as given in Table 4. The
model LFs that best fit the data are shown as solid lines. The index of
their corresponding power-law MF is, from bottom to top,
|
| Open with DEXTER | |
![]() |
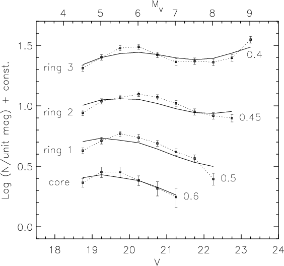
Figure 6:
Same LFs as those of Fig. 5, but here the solid
lines show the LFs predicted by our multi-mass Michie-King model at
various radii inside the cluster, starting from the same PGMF with
index
|
| Open with DEXTER | |
![]() |
Figure 7: The surface brightness profile of NGC 6218 (crosses, from Trager et al. 1995) is well reproduced by our dynamical model (solid line). The observations are normalised to the central value of the best fitting profile (dashed line) as given by Trager et al. (1995). |
| Open with DEXTER | |