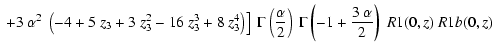
Table 1: Expression of four components of the shear three-point function where ${C_{\alpha}(l_3)}=-l_3^{-4 - 3~\alpha} {\pi }^3~{\csc
(\frac{\alpha~\pi }{2} )...
... )
/ ({2~\Gamma{ (2 -\frac{3~\alpha}{2} )}~{\Gamma ({\frac{\alpha}{2}}} )^3} )$.
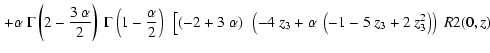
$\displaystyle \xi_{\gamma(\vec{r}_1)\gamma(\vec{r}_2)\gamma(\vec{r}_3)}$ = $\displaystyle -\frac{{C_{\alpha}(l_3)}~{\alpha}^2~{\left(
2 + \alpha \right) }^...
...+ z_3^2 \right) +
8~\left( 1 - 2~z_3 + 4~z_3^3 - 2~z_3^4 \right)
\right.\right.$  
    $\displaystyle \left.\left.+ 3~{\alpha}^2~
\left( -4 + 5~z_3 + 3~z_3^2 - 16~z_3^...
...c{3~\alpha}{2}\right)~\Muserfunction{R1}(0,z)~
\Muserfunction{R1b}(0,z) \right.$  
    $\displaystyle \left.
+ 8~\left( 1 + \alpha \right) ~\left( 2 - 5~z_3 + 2~z_3^2 ...
...c{3~\alpha}{2}\right)~
\Muserfunction{R1}(1,z)~\Muserfunction{R1b}(0,z)
\right.$  
    $\displaystyle \left. - {\ifthenelse{\equal{Gamma}{Gamma}}{\Gamma}{Gamma}}\left(...
... \right) +
8~\left( 1 - 2~z_3 + 4~z_3^3 - 2~z_3^4 \right)
\right.\right.\right.$  
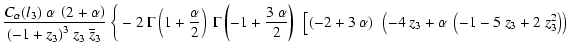
    $\displaystyle \left.\left.\left. + 3~{\alpha}^2~\left( -4 +
5~z_3 + 3~z_3^2 - 16~z_3^3 + 8~z_3^4 \right) \right)
~\Muserfunction{R2}(0,z)
\right.\right.$  
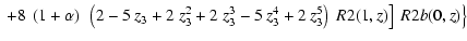
    $\displaystyle \left.\left.
+8~\left( 1 + \alpha \right) ~\left( 2 - 5~z_3 + 2~z...
...^5 \right)
~\Muserfunction{R2}(1,z)
\right] ~
\Muserfunction{R2b}(0,z) \right\}$                   (24)
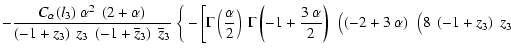
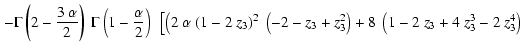
$\displaystyle \xi_{\gamma(\vec{r}_1)\gamma(\vec{r}_2)\overline{\gamma}(\vec{r}_3)}$ = $\displaystyle -
\frac{{C_{\alpha}(l_3)}~{\alpha}^2~\left( 2 + \alpha \right)}{\...
...ft( 8~\left( -1 + z_3 \right) ~z_3\phantom{-1 - 8~z_3 + 8~z_3^2}
\right.\right.$  
    $\displaystyle \left.\left.\left.\left. + \alpha~\left( -1 - 8~z_3 + 8~z_3^2 \ri...
...z_3 \right) ~\left( 2~\left( -1 + z_3 \right) ~z_3
\right.\right.\right.\right.$  
    $\displaystyle \left.\left.\left.~+ \alpha~\left( -1 - 2~z_3 + 2~z_3^2 \right)
\...
...b}}{\overline{z}_3}{}} \right) ~\Muserfunction{R1b}(1,z) \right) \bigg]
\right.$  
    $\displaystyle \left. + {\ifthenelse{\equal{Gamma}{Gamma}}{\Gamma}{Gamma}}
\left...
...t( -1 - 8~z_3 + 8~z_3^2 \right) \right) ~\Muserfunction{R2}(0,z)
\right.\right.$  
    $\displaystyle \left.\left. + 4~\left( -1 + 2~z_3 \right) ~\left(
2~\left( -1 + ...
...] ~\left( \left( -2 + 3~\alpha \right) ~\Muserfunction{R2b}(0,z)
\right.\right.$  
    $\displaystyle \left.+
4~\left( -1 + 2~{\ifthenelse{\equal{zb}{zb}}{\overline{z}_3}{}} \right) ~\Muserfunction{R2b}(1,z) \right)
\bigg\}$ (25)
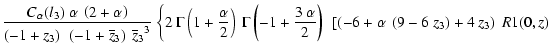
$\displaystyle \xi_{\gamma(\vec{r}_1)\overline{\gamma}(\vec{r}_2){\gamma}(\vec{r}_3)}$ = $\displaystyle \frac{{C_{\alpha}(l_3)}~\alpha~\left( 2 + \alpha \right)}{{\left(...
..._3}}{\Gamma}{z_3}} + \alpha~\left( -1 - 5~z_3 + 2~z_3^2 \right) \right) \right.$  
    $\displaystyle \left.\left.
\times\Muserfunction{R1}(0,z) +4~\left( 1 + z_3 \rig...
...t( 1 - 4~z_3 + z_3^2 \right) \right) ~
\Muserfunction{R1}(1,z) \right]~
\right.$  
    $\displaystyle \left.\times
\left[ \left( -2 + 3~\alpha \right) ~\left( 1 +
2~{\...
...b}{zb}}{\overline{z}_3}{}}}^2 \right) ~\Muserfunction{R1b}(1,z) \right]
\right.$  
    $\displaystyle \left.+
\alpha~{\ifthenelse{\equal{Gamma}{Gamma}}{\Gamma}{Gamma}}...
...( -1 - 5~z_3 + 2~z_3^2 \right) \right) ~
\Muserfunction{R2}(0,z)
\right.\right.$  
    $\displaystyle \left.\left.+
4~\left( 1 + z_3 \right) ~\left( -2~z_3 + \alpha~\left( 1 - 4~z_3 + z_3^2 \right) \right) ~
\Muserfunction{R2}(1,z) \right] ~
\right.$  
    $\displaystyle \times \left[ \left( -2 + 3~\alpha \right) ~\left( 1 + 2~{\ifthen...
...b}{zb}}{\overline{z}_3}{}}}^2 \right) ~\Muserfunction{R2b}(1,z)
\right]
\bigg\}$ (26)
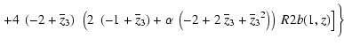
$\displaystyle \xi_{\gamma(\vec{r}_1)\overline{\gamma}(\vec{r}_2)\overline{\gamma}(\vec{r}_3)}$ = $\displaystyle \frac{{C_{\alpha}(l_3)}~\alpha~\left( 2 + \alpha \right)}{\left( ...
...alpha~\left( 9 - 6~z_3 \right) + 4~z_3 \right) ~\Muserfunction{R1}(0,z)
\right.$  
    $\displaystyle \left.\left. -
4~\left( -2 + z_3 \right) ~z_3~\Muserfunction{R1}(...
...{\overline{z}_3}{}}}^2 \right) \right) ~\Muserfunction{R1b}(0,z)
\right.\right.$  
    $\displaystyle \left.\left.+
4~\left( -2 + {\ifthenelse{\equal{zb}{zb}}{\overlin...
...equal{Gamma}{Gamma}}{\Gamma}{Gamma}}
\left(1 -
\frac{\alpha}{2}\right)~
\right.$  
    $\displaystyle \left. \times \left[ \left( -2 + 3~\alpha \right) ~\left( -3 +
2~...
...}(0,z) +
4~\left( -2 + z_3 \right) ~z_3~\Muserfunction{R2}(1,z) \right]
\right.$  
    $\displaystyle \left.\times
\left[ \left( -2 + 3~\alpha \right) ~\left( 4~\left(...
...{\overline{z}_3}{}}}^2 \right) \right) ~\Muserfunction{R2b}(0,z)
\right.\right.$  
    $\displaystyle \left.+
4~\left( -2 + {\ifthenelse{\equal{zb}{zb}}{\overline{z}_3...
...\overline{z}_3}{}}}^2 \right) \right) ~\Muserfunction{R2b}(1,z)
\right]
\bigg\}$ (27)

Source LaTeX | All tables | In the text