A&A 438, L5-L8 (2005)
DOI: 10.1051/0004-6361:200500140

Scattering of gravitational waves by the weak gravitational fields of lens objects

R. Takahashi1 - T. Suyama2 - S. Michikoshi2


1 - Division of Theoretical Astronomy, National Astronomical Observatory of Japan, Mitaka, Tokyo 181-8588, Japan
2 - Department of Physics, Kyoto University, Kyoto 606-8502, Japan

Received 17 March 2005 / Accepted 7 June 2005

Abstract
We consider the scattering of gravitational waves by the weak gravitational fields of lens objects. We obtain the scattered gravitational waveform by treating the gravitational potential of the lens to first order, i.e. using the Born approximation. We find that the effect of scattering on the waveform is roughly given by the Schwarzschild radius of the lens divided by the wavelength of gravitational wave for a compact lens object. If the lenses are smoothly distributed, the effect of scattering is of the order of the convergence field $\kappa$ along the line of sight to the source. In the short wavelength limit, the amplitude is magnified by $1+\kappa$, which is consistent with the result in weak gravitational lensing.

Key words: gravitational lensing - gravitational waves - scattering

1 Introduction

Ground-based laser interferometric detectors of gravitational waves such as LIGO, VIRGO, TAMA and GEO are currently in operation to search for astrophysical sources such as neutron star binaries, black hole binaries and supernovae (e.g. Cutler & Thorne 2002). The gravitational wave signals from these binaries are extracted from the data using matched filtering with a gravitational waveform template. If the gravitational waves pass near massive compact objects or pass through intervening inhomogeneous mass distribution, the gravitational waveform is changed due to the scattering (or the gravitational lensing) by the gravitational potential of these objects. The gravitational waves do not directly interact with matter (e.g. Thorne 1987), but the gravitational lensing occurs in the same way as it does for electromagnetic waves. In this letter, we investigate the effects of scattering by lens objects on the gravitational waveform.

In the gravitational lensing of light, the scattering is discussed in terms of gravitational lensing under the geometrical optics approximation, which is valid because the wavelength is much smaller than the typical size of lens objects. But in the case of gravitational waves, since the wavelength is much larger than that of light, geometrical optics is not valid in some cases. If the wavelength is larger than the Schwarzschild radius of the lens, wave optics should be used (Peters 1974; Ohanian 1974; Bontz & Haugan 1981; Thorne 1983; Deguchi & Watson 1986). This condition is rewritten as $M \la10^3~ M_\odot
(f/10^2~ {\mbox{Hz}})^{-1}$, where 102 Hz is the typical frequency of gravitational waves for ground-based detectors. Hence, we use wave optics in this letter.

In the geometrical optics for the lensing of light, the strong and weak lensing are distinguished by the convergence field $\kappa$ which is the ratio of surface density of lens $\Sigma$ to a critical density $\Sigma_{\rm cr} \sim c^2/G D_{\rm L}$, where $D_{\rm L}$ is the distance to the lens (Kaiser 1992; Bartelmann & Schneider 2001). In the strong lensing regime, $\kappa \ga1$, the multiple images of distant source are formed. But the strong lensing probability is small, $\sim$0.1%, for high redshift sources. Hence, the weak lensing approximation, $\kappa \ll 1$, is valid for most sources. We use the weak field approximation in the wave optics.

In the past, Peters (1974) studied the scattering by a point mass lens and a thin sheet of matter in the weak field approximation, and obtained the scattered waveform for these lens models. The gravitationally lensed waveform (which is the solution of wave Eq. (1)) was given in Schneider et al. (1992), Sects. 4.7 and 7, using the diffraction integral under the thin lens approximation. Recently, several authors have been studying wave optics in the gravitational lensing of gravitational waves using this integral (Nakamura 1998; Nakamura & Deguchi 1999; Ruffa 1999; Takahashi & Nakamura 2003; Yamamoto 2003; Macquart 2004; Takahashi 2004). In this letter, we present another method to derive the solution of Eq. (1) in the weak-field limit. We treat the gravitational field of lens to first order, i.e. using the Born approximation, and discuss its validity. We use units of c=G=1.

2 Gravitational waves propagating through weak gravitational fields

We consider the scattering of gravitational waves by the weak gravitational fields of lens objects. We consider the scattering of scalar waves, instead of gravitational waves, since the basic equation is the same as the scalar field wave equation (see Sect. IIC of Peters 1974). The gravitational fields of the lens objects are described by the metric $g_{\mu \nu}$ as d $s^2 = g_{\mu \nu} {\rm d}x^{\mu} {\rm d}x^{\nu} = -\left( 1+2U
\right) {\rm d}t^2 + \left( 1-2U \right) {\rm d}\vec{r}^2$, where $U(\vec{r})$ is the gravitational potential of the lens. Since the propagation equation of the scalar wave is $\partial_\mu \left( \sqrt{-g} g^{\mu \nu} \partial_\nu \phi \right)=0$, we have the wave equation as

 \begin{displaymath}\left( \nabla^2 + \omega^2 \right) \tilde{\phi}(\vec{r})
= 4 \omega^2 U(\vec{r}) \tilde{\phi}(\vec{r}),
\end{displaymath} (1)

where $\omega$ is the frequency of the gravitational waves and we set $\phi(t,\vec{r}) = \tilde{\phi}(\vec{r}) {\rm e}^{{\rm i}\omega t}$.


  \begin{figure}
\par\includegraphics[width=4.2cm,clip]{Hc171_fig1.eps}
\end{figure} Figure 1: Gravitational lens geometry for the source, the lens and the observer. The lens is distributed around the origin. The source position is $\vec{r}_{\rm S}
=({\bf 0},-D_{\rm LS})$, while the observer position is $\vec{r}_{\rm o}=(\vec{s}_{\rm o},
D_{\rm L})$ where $\vec{s}_{\rm o}$ is a two-dimensional vector with $\vert\vec{s}_{\rm o}\vert \ll D_{\rm L}$. $D_{\rm L}$ and $D_{\rm LS}$ are the distances from the lens to the observer and to the source, respectively. $\phi ^0$ is the incident wave, while $\phi ^0 + \phi ^1$ is the scattered wave.
Open with DEXTER

We show the lens geometry of the source, the lens and the observer in Fig. 1. The lens is distributed around the origin of the coordinate axes. The source position is $\vec{r}_{\rm S}
=({\bf 0},-D_{\rm LS})$, while the observer position is $\vec{r}_{\rm o}=(\vec{s}_{\rm o},
D_{\rm L})$ where $\vec{s}_{\rm o}$ is a two-dimensional vector with $\vert\vec{s}_{\rm o}\vert \ll D_{\rm L}$. $D_{\rm L}$ and $D_{\rm LS}$ are the distances from the lens to the observer and to the source, respectively.

In the unlensed case U=0 in Eq. (1), we write $\tilde{\phi}^0(\vec{r})$ as the solution of this equation. Including the effect of U to first order, the scattered wave at the observer is written as

 \begin{displaymath}\tilde{\phi}(\vec{r}_{\rm o}) = \tilde{\phi}^0 (\vec{r}_{\rm o})
+ \tilde{\phi}^1 (\vec{r}_{\rm o}),
\end{displaymath} (2)

where $\tilde{\phi}^1$ represents the effect of scattering. Using Green's function for the Helmholtz equation, ${\rm e}^{{\rm i}\omega \left\vert \vec{r} -\vec{r}^\prime \right\vert}
/\left\vert \vec{r}-\vec{r}^\prime \right\vert$, we obtain $\tilde{\phi}^1(\vec{r}_{\rm o})$ from Eqs. (1) and (2) as

 \begin{displaymath}\tilde{\phi}^1 (\vec{r}_{\rm o}) = - \frac{\omega^2}{\pi} \in...
...ht\vert}
U(\vec{r}^{\prime}) \tilde{\phi}^0 (\vec{r}^\prime).
\end{displaymath} (3)

Note that the above result (3) can be used if the lenses are broadly distributed between the source and the observer since the thin lens approximation is not assumed.

We use the spherical wave emitted by the source as $\phi ^0$, then we have $\tilde{\phi}^0(\vec{r}) = A {\rm e}^{{\rm i}\omega \left\vert
\vec{r}-\vec{r}_{\rm S} \right\vert}/\left\vert \vec{r}-
\vec{r}_{\rm S} \right\vert$. In Fig. 1, $\phi ^0$ represents the incident wave emitted by the source, while $\phi ^0 + \phi ^1$ represents the scattered wave.

2.1 Geometrically thin lens

We assume that the lens objects are locally distributed at the origin. Then we have $\left\vert \vec{r}^\prime \right\vert \ll D_{\rm L,LS}$ and $\left\vert \vec{s}_{\rm o} \right\vert \ll D_{\rm L}$ in Eq. (3). Using the second-order Taylor series[*] for these small quantities  $\vec{r}^\prime$ and $\vec{s}_{\rm o}$, $\tilde{\phi}^1$ is reduced to

 \begin{displaymath}\frac{\tilde{\phi}^1(\vec{r}_{\rm o})}
{\tilde{\phi}^0(\vec{...
...}^{{\rm i}\omega t_{\rm d}(\vec{s}^{\prime},\vec{s}_{\rm o})},
\end{displaymath} (4)

where $D_{\rm S}=D_{\rm L}+D_{\rm LS}$ and we set $\vec{r}^\prime=(\vec{s}^\prime, z^\prime)$. Here, $t_{\rm d}$ is the geometrical time delay which is given by $t_{\rm d}(\vec{s}^{\prime},\vec{s}_{\rm o}) = {D_{\rm S}}
/{\left( 2 D_{\rm L}...
...ec{s}^\prime - \left({D_{\rm LS}}/{D_{\rm S}}\right)
\vec{s}_{\rm o} \right]^2$. Using the two-dimensional gravitational potential $\psi(\vec{s}^\prime)
= 2 \int {\rm d}z^\prime U(\vec{s}^\prime, z^\prime)$, the result in Eq. (4) is reduced to

 \begin{displaymath}\frac{\tilde{\phi}^1(\vec{r}_{\rm o})}{\tilde{\phi}^0
(\vec{...
...}^{{\rm i}\omega t_{\rm d}(\vec{s}^{\prime},\vec{s}_{\rm o})}.
\end{displaymath} (5)

The above equation is also derived by expanding $\psi$ to first order in the diffraction integral (see Schneider et al. 1992). The surface density of the lens is defined as $\Sigma(\vec{s})=\int {\rm d}z \rho (\vec{s},z)$, where $\rho$ is the mass density. Since the potential $\psi$ is written using the surface density as $\psi(\vec{s}^\prime)=4 \int {\rm d}^2 s^{\prime \prime}
\Sigma(\vec{s}^{\prime \prime}) \ln \left\vert\vec{s}^\prime
-\vec{s}^{\prime \prime}\right\vert$, the result (5) is rewritten as (Appendix A),
 
$\displaystyle \frac{\tilde{\phi}^1(\vec{r}_{\rm o})}{\tilde{\phi}^0
(\vec{r}_{\...
...s}^\prime - \frac{D_{\rm LS}}{D_{\rm S}}
\vec{s}_{\rm o} \right\vert^2 \right],$     (6)

where $E_{\rm i}$ is the exponential integral function: $E_{\rm i}
({\rm i}x)=- \int_x^\infty {\rm d}t~{\rm e}^{{\rm i}t}/t$ (e.g. Abramowitz & Stegun 1970). If we shift the potential $\psi$ by a constant value $\psi_0$, $\tilde{\phi}^1 / \tilde{\phi}^0$ in Eq. (5) is shifted by $-{\rm i}\omega \psi_0$[*]. Hence we can choose $\psi_0$ so that the second term of Eq. (6) vanishes, and we eliminate this term.

Let us discuss the validity of the Born approximation. If the scattered wave $\tilde{\phi}^0+\tilde{\phi}^1$ is not too different from the incident wave $\tilde{\phi}^0$, this approximation is valid. We discuss the condition of $\vert\tilde{\phi}^1/\tilde{\phi}^0\vert \ll 1$ for the two lens models, point mass lens and smoothly distributed lens, in the following subsections.

2.1.1 Point mass lens

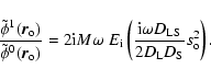
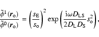
The surface density is $\Sigma(\vec{s})=M \delta^2(\vec{s})$ where M is the lens mass. Then, $\tilde{\phi}^1$ in Eq. (6) is rewritten as (see also Peters 1974, Sect. III A)

 \begin{displaymath}\frac{\tilde{\phi}^1(\vec{r}_{\rm o})}{\tilde{\phi}^0
(\vec{...
...omega D_{\rm LS}}{2 D_{\rm L} D_{\rm S}}
s_{\rm o}^2 \right).
\end{displaymath} (7)

In Fig. 2, we show $E_{\rm i}({\rm i}x)$ as a function of x. The solid line is the absolute value of $E_{\rm i}$, the dashed line is the real part, and the dotted line is the imaginary part. From this figure, except for small $x \la1$, $\left\vert E_{\rm i} \right\vert$ is smaller than 1. Thus the Born approximation is valid $\left\vert \tilde{\phi}^1 / \tilde{\phi}^0 \right\vert \ll 1$ in Eq. (7) if the lens mass M is smaller than the wave length of the gravitational waves $\lambda = 2 \pi/\omega$ except for small impact parameter $s_{\rm o} \la\left( D_{\rm L} D_{\rm S}/\omega
D_{\rm LS} \right)^{1/2}$.

Especially for large impact parameter so, since $E_{\rm i}({\rm i}x) \sim -{\rm i}{\rm e}^{{\rm i}x}/x$ for $x \gg 1$, Eq. (7) is reduced to

 \begin{displaymath}\frac{\tilde{\phi}^1(\vec{r}_{\rm o})}{\tilde{\phi}^0(\vec{r}...
...}\omega D_{\rm LS}}{2 D_{\rm L}D_{\rm S}} s_{\rm o}^2 \right),
\end{displaymath} (8)

where $s_{\rm E}$ is the Einstein radius on the observer plane: $s_{\rm E}= \left( 4 M D_{\rm L}D_{\rm S}/D_{{\rm LS}} \right)^{1/2}$. Hence if the observer position $s_{\rm o}$ is larger than the Einstein radius $s_{\rm E}$, the Born approximation is valid irrespective of the wavelength of the gravitational waves.


  \begin{figure}
\par\includegraphics[width=5.4cm,clip]{Hc171_fig2.eps}
\end{figure} Figure 2: $E_{\rm i}({\rm i}x)$ as a function of x. The solid line is the absolute value of $E_{\rm i}$, the dashed line is the real part, and the dotted line is the imaginary part.
Open with DEXTER

2.1.2 Smoothly distributed lens

We assume that the lenses are smoothly distributed on the z=0 plane in Fig. 1. In the unlensed case, the wave propagates through $\vec{s}^\prime = (D_{{\rm LS}}/D_{\rm S}) \vec{s}_{\rm o}$ in the lens plane. Expanding the lens potential $\psi(\vec{s}^\prime)$ around it, $\tilde{\phi}^1$ in Eq. (5) is rewritten as

 \begin{displaymath}\frac{\tilde{\phi}^1(\vec{r}_{\rm o})}{\tilde{\phi}^0(\vec{r}...
...}{\omega D_{\rm S}} \right)^2
\nabla^4_{\rm s}\kappa \right].
\end{displaymath} (9)

The first term, being $-{\rm i}\omega \psi(\vec{s}^\prime)$ at $\vec{s}^\prime = (D_{{\rm LS}}/D_{\rm S}) \vec{s}_{\rm o}$, can be eliminated for the same reason as the second term in Eq. (6). In the second term, $\kappa$ is the convergence field along the line of sight to the source defined as $\kappa=\Sigma(\vec{s}^\prime)
/\Sigma_{\rm cr}$ at $\vec{s}^\prime = (D_{{\rm LS}}/D_{\rm S}) \vec{s}_{\rm o}$ with $\Sigma_{\rm cr}=D_{\rm S}/\left( 4 \pi D_{\rm L}D_{{\rm LS}}
\right)$. The third term is a correction term arising from the effect of finite wavelength. If the scale of the density fluctuation $\sim$ $
\left\vert \nabla^2_{\rm s}\kappa/\kappa \right\vert^{-1/2}$ is much larger than the Fresnel scale $\sim$ $ \left( D_{\rm L}D_{{\rm LS}}/\omega D_{\rm S}\right)^{1/2}$, or if the geometrical optics is valid $(\omega \to \infty)$, the third term is negligible. Then, the incident wave is magnified by $1+\kappa$, which is consistent with the result in the weak gravitational lensing (e.g. Bartelmann & Schneider 2001). If $\kappa \ll 1$, the Born approximation is valid.

2.2 Geometrically thick lens

We consider the lenses are broadly distributed between the source and the observer. It is easy to apply the previous result in Sect. 2.1 to this case. $\tilde{\phi}^1$ in Eq. (5) is rewritten as

 
$\displaystyle \frac{\tilde{\phi}^1(\vec{r}_{\rm o})}{\tilde{\phi}^0(\vec{r}_{\r...
...{\rm e}^{{\rm i}\omega t_{\rm d}(\vec{s}^{\prime},
z^\prime, \vec{s}_{\rm o})},$     (10)

with $t_{\rm d}(\vec{s}^{\prime}, z^\prime, \vec{s}_{\rm o}) =
D_{\rm S}/ \left[ 2 z...
...imes \left[ \vec{s}^\prime -
({z^\prime}/{D_{\rm S}}) \vec{s}_{\rm o}\right]^2$. If the lenses have a thickness of $\Delta z$ in the z direction, the correction for this thickness in the scattered wave $\tilde{\phi}^1$ is of the order of $\Delta z/D_{\rm S}$ from Eqs. (4) and (10). Thus, if $\Delta z \ll D_{\rm S}$ the thin lens approximation is valid.

Especially, for smoothly distributed lenses the result (9) is valid but $\kappa$ is replaced by

\begin{displaymath}\kappa = 4 \pi \int_0^{D_{\rm S}} {\rm d} z^\prime \frac{z^\p...
...D_{\rm S}}) \vec{s}_{\rm o},
z^\prime - D_{{\rm LS}} \right),
\end{displaymath} (11)

where $\rho$ is the mass density of the lens.

2.3 Two-point correlation function

Recently, Macquart (2004, hereafter M04) derived the correlation function in the wave amplitude of the two detectors under the thin lens approximation. He suggested that measurement of the correlation function provides the power spectrum of the mass density fluctuation. In this section, we derive it without the thin lens approximation, but within the limit of weak gravitational fields[*]. We consider two observers at $\vec{r}_{\rm o}$ and $\vec{r}_{\rm o}
+ \vec{r}_1$ with $\left\vert \vec{r}_1 \right\vert \ll \left\vert \vec{r}_{\rm o}
\right\vert$. The mass fluctuation is usually characterized by the power spectrum defined as $P(k)=\int \langle \rho (\vec{r}) \rho (\vec{r} +
\vec{r}^\prime) \rangle {\rm e}^{{\rm i}\vec{k} \cdot \vec{r}^\prime}
{\rm d}^3 r^\prime$. The correlation in the potential $U(\vec{r})$ and $U(\vec{r}^\prime)$ is written as

 \begin{displaymath}\langle U(\vec{r}) U(\vec{r}^\prime) \rangle = \frac{2}{\pi}
...
...\rm i}\vec{k} \cdot \left(
\vec{r} - \vec{r}^\prime \right)}.
\end{displaymath} (12)

We obtain the correlation in the wave amplitudes $\tilde{\phi}^1(\vec{r}_{\rm o})$ and $\tilde{\phi}^1(\vec{r}_{\rm o}
+ \vec{r}_1)$ from Eqs. (3) and (12) as
 
    $\displaystyle \langle \tilde{\phi}^1(\vec{r}_{\rm o}) \tilde{\phi}^{1 *} (\vec{...
...k ~\frac{1}{k^4}
~P(k) \int {\rm d}^3 r^\prime \int {\rm d}^3 r^{\prime \prime}$  
    $\displaystyle ~~~~\times \frac{{\rm e}^{{\rm i}\omega \left\vert \vec{r}_{\rm o...
...-{\rm i}\vec{k}
\cdot \left( \vec{r}^\prime - \vec{r}^{\prime \prime} \right)}.$ (13)

It is useful to change the integral variables to $\vec{x}=\vec{r}^\prime
-\vec{r}^{\prime \prime}$ and $\vec{y}=\left( \vec{r}^\prime
+\vec{r}^{\prime \prime} \right)/2$, and we assume that $\vec{x}$ is much smaller than the distances $D_{\rm L,LS}$. Then, expanding these small quantities $\vec{x}$ and $\vec{r}_1$ in the exponentials, Eq. (13) is rewritten as
 
    $\displaystyle \langle \tilde{\phi}^1(\vec{r}_{\rm o}) \tilde{\phi}^{1 *} (\vec{...
...{\pi^3} \int {\rm d}^3 k ~\frac{1}{k^4}
~P(k) \int {\rm d}^3 x \int {\rm d}^3 y$  
    $\displaystyle ~~~~\times \frac{1}{\left\vert \vec{r}_{\rm o}- \vec{y} \right\ve...
...{y}} \right) \cdot
\vec{r}_1 \right]} ~{\rm e}^{-{\rm i}\vec{k} \cdot \vec{x}},$ (14)

where $\vec{\widehat{v}}\,$ denotes the unit vector for $\vec{v}$. A is the amplitude of the incident wave (see sentences after Eq. (3)). Performing the integral in Eq. (14), we obtain
 
$\displaystyle \left\langle \tilde{\phi}^1(\vec{r}_{\rm o}) \tilde{\phi}^{1 *} (...
...^{D_{\rm S}} {\rm d}z^\prime
{\rm e}^{- {\rm i}\omega \vec{n} \cdot \vec{r}_1},$     (15)

where $\vec{n} = \left( - z^\prime \vec{q} / \omega D_S, 1 \right)$ and $\vec{q}$ is the (x,y) component of the wave vector $\vec{k}$. In the geometrically thin lens at z=0 plane, P(q) is replaced by $P^{2D}(q) \delta(z^\prime-D_{{\rm LS}})$ where $P^{\rm 2D}$ is ${\rm 2D}$ power spectrum.

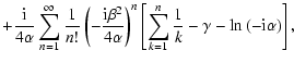
Let us consider a single power law model for the power spectrum as an example. This model can be used for the fluctuation of cold dark matter and gas (M04, Sects. 5.2 and 5.3). The power spectrum is $P(k)=P_0 \left( k/k_0 \right)^{-{n}}$ for $k_{\rm min}<k<k_{\rm max}$, and P(k)=0 otherwise. The index is ${n}\approx 3-4$, and $k_{\rm min} \ll k_{\rm max}$. Then, the integral in Eq. (15) is dominated by the fluctuation at the largest scale of $1/k_{\rm min}$. The exact solution of integral (15) was given by the hypergeometric function, but we present an approximate solution for simplicity. Assuming that the separation of two detectors $\vert\vec{r}_1\vert$ is much smaller than the largest scale of fluctuation $1/k_{\rm min}$, we have

 
$\displaystyle \langle \tilde{\phi}^1(\vec{r}_{\rm o}) \tilde{\phi}^{1 *} (\vec{...
...ht\vert^2 P(k_{\rm min}) k_{\rm min}^{-2} D_{\rm S}{\rm e}^{-{\rm i}\omega z_1}$      
$\displaystyle \times \left[ \frac{2\pi}{2-{n}} + \frac{\pi}{6 {n}}
\left( k_{\rm min} s_1 \right)^2 +
\mathcal{O} \left(k_{\rm min}^4 s_1^4\right) \right],$     (16)

where $\vec{r}_1=(\vec{s}_1,z_1)$. The first term represents the dispersion of the scattered wave, while the second term is two-point correlation function[*]. If the lenses have a finite thickness $\Delta L$ along the z-axis, DS in Eq. (16) should be replaced by $\Delta L$.

3 Conclusions

We have discussed the scattering of gravitational waves by the weak gravitational fields of lenses by using the Born approximation. We consider the two lens models, the point mass lens and the smoothly distributed lens, and discuss the validity of the Born approximation. For the point mass lens, the effect of scattering is roughly given by the Schwarzschild radius M of lens divided by the wavelength $\lambda$. If $M < \lambda$ or if the impact parameter is larger than the Einstein radius, the approximation is valid. For the smoothly distributed lens, the effect of scattering is of the order of the convergence $\kappa$, and if $\kappa \ll 1$ the approximation is valid. In the short wavelength limit, the result is consistent with the weak gravitational lensing. We derive the correction term due to the effect of finite wavelength in the magnification. The two point correlation function is also discussed following the recent paper (M04).

Acknowledgements
We would like to thank the referee for useful comments to improve the manuscript.

Appendix A: Derivation of Eq. (6)

Inserting  $\psi(\vec{s}^\prime)=4 \int {\rm d}^2 s^{\prime \prime}
\Sigma(\vec{s}^{\prime \prime}) \ln \left\vert\vec{s}^\prime
-\vec{s}^{\prime \prime}\right\vert$ into Eq. (5), we change the integral variable from $\vec{s}^\prime$ to $\vec{u} \equiv
\vec{s}^\prime - \vec{s}^{\prime \prime}$. Then, we have

 
$\displaystyle \frac{\tilde{\phi}^1(\vec{r}_{\rm o})}{\tilde{\phi}^0(\vec{r}_{\r...
...imes \int_0^\infty {\rm d}u ~u \ln u ~{\rm e}^{{\rm i}\alpha u^2} J_0(\beta u),$     (A.1)

where $\alpha=\omega D_{\rm S}/ \left( 2 D_{\rm L}D_{{\rm LS}} \right)$, $\beta=2 \alpha
\left\vert \vec{s}^{\prime \prime}-(D_{{\rm LS}}/D_{\rm S}) \vec{s}_{\rm o}\right\vert$, and J0 is the 0th order Bessel function. By using series $J_0 (\beta u)=\sum_{{n}=0}^{\infty}
\left(- \beta^2 u^2/4 \right)^{n}\left( {n}! \right)^{-2}$, the integral in Eq. (A.1) is rewritten as,
 
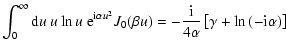
$\displaystyle \int_0^\infty {\rm d}u ~u \ln u ~{\rm e}^{{\rm i}\alpha u^2} J_0(...
...ac{{\rm i}}{4 \alpha} \left[ \gamma + \ln \left(- {\rm i}\alpha \right)
\right]$      
$\displaystyle + \frac{{\rm i}}{4 \alpha} \sum_{{n}=1}^\infty \frac{1}{{n}!} \le...
...{{k}=1}^{n}
\frac{1}{{k}} - \gamma - \ln \left( -{\rm i}\alpha \right) \right],$     (A.2)

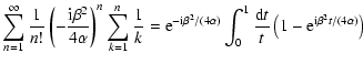
where $\gamma$ is the Euler constant (e.g. Gradshteyn & Ryzhik 2000). Using identity $\sum_{{k}=1}^{n}1/{k}=\int_0^1 {\rm d}t [1-(1-t)^{n}]/t$, we have
 
$\displaystyle \sum_{{n}=1}^\infty \frac{1}{{n}!} \left( - \frac{{\rm i}\beta^2}...
...^1 \frac{{\rm d}t}{t} \left( 1- {\rm e}^{ {\rm i}\beta^2 t /(4 \alpha)} \right)$      
$\displaystyle = -{\rm e}^{-{\rm i}\beta^2/(4 \alpha)} \left[ E_{\rm i}\left({\r...
...
\right) - \ln \left( -{\rm i}\frac{\beta^2}{4 \alpha} \right) -\gamma \right].$     (A.3)

In the second equality, we use $E_{\rm i}({\rm i}x)=\gamma+\ln \left( -{\rm i}x \right)
+\sum_{{n}=1}^\infty \left( {\rm i}x \right)^{n}/ \left( {n}\cdot {n}!
\right)$. Inserting Eqs. (A.2) and (A.3) into Eq. (A.1), we obtain Eq. (6).

References

 

Copyright ESO 2005