A&A 418, 1159-1170 (2004)
DOI: 10.1051/0004-6361:20034441
A critical discussion on parametric and nonparametric regression methods
applied to Hipparcos-FK5 residuals
F. J. Marco1 - M. J. Martínez2 -
J. A. López1
1 - Dept. Matematicas, Universidad Jaume I,
Campus de Riu Sec, 12071 Castellon, Spain
2 -
Dept. Matematica Aplicada. Universidad politecnica de Valencia ETSII Valencia, Spain
Received 3 October 2003 / Accepted 22 January 2004
Abstract
In this paper we present an analysis of the differences between the Hipparcos and FK5
catalogues. We study parametric and nonparametric methods with two main objectives:
first, to determine whether or not there is a pure rotation between the two catalogues,
and to decide which model best represents the residuals;
second, to give a practical formulation to reduce positions between
the two systems at any point on the celestial sphere.
Key words: astrometry - catalogs - reference systems
In 1991, a decision was taken by the IAU that the celestial reference system should be
materialised by a celestial reference frame defined by the precise
coordinates of extragalactic radio sources. The adoption of the ICRS as a new reference system was decided on the IAU assembly held in Kyoto in 1997 and it came into use in
January 1998.
Nevertheless, the reference frame initially related to the system, the
ICRF, could not be used directly by most astronomers working in optical
or infrared wavelength. Consequently, the Hipparcos catalogue (1997), with over 118 300 stars, is still the optical materialization of the System today. Its positions and proper motions contain errors
around 1 mas and 1 mas/yr. After the publication of Hipparcos and its
acceptance as the fundamental reference frame, the question of catalogue
homogenization has reemerged, following the IAU recommendation
that the necessary studies should be conducted in order to obtain as thorough relationships as
possible with other catalogues. In this respect, some
significant papers are the ones of Mignard & Froeschle (1997, 2000),
who carried out a wide study of the deviations of the FK5 catalogue (Fricke et al. 1988) from Hipparcos; and the ones of Schwan who, in his paper (2001a)
conducts a global and a zonal study of the differences between the same
catalogues in the mean epoch of FK5 and following the indications of IAU (1976).
In further papers Schwan (2001b, 2002), extends this work
to several commonly used catalogues.
These two papers are concerned with two fundamental and related questions:
a) the issue of whether or not of a pure rotation exists between Hipparcos and the older FK5 catalogue. Geometrical & Linear (2001a, henceforth GL) and Geometrical and Vectorial Spherical Harmonics (henceforth GV) are used to obtain the coefficients of the geometrical infinitesimal rotations;
b) the question of how a model of correction could be provided, if indeed this is possible, which would be applicable to the whole sphere.
On this second question, Schwan (2001a) provides a development in spherical harmonics (modified in order to include the magnitude as a variable), while Mignard & Froeschlé (2000), conclude that this procedure is not suitable and provide a table to interpolate. Nevertheless, all the authors coincide on the first question and conclude that the existence of a pure rotation and similar values for the infinitesimal rotations are obtained if they are computed at the same epoch.
A number of crucial points related to the model used in the adjustment must be highlighted for two different reasons:
- 1)
- The first one is concerned with the importance of the consequences derived from the applications of a determined model. We identify at least two important objectives that would benefit from the correct
relationships between two catalogues being obtained. The first of these is to monitor the system adequately. To this end, we only have to consider a simple
relationship, such as that between GL and their temporal variations, which are
related to the differences in proper motions, but not only to them: it
suffices to remember the "dynamical'' studies carried out into the errors in
the FK5 and their temporal evolution (from corrections to the zero-point
as in Batrakov & Chernetenko 1997; Batrakov et al. 1999; Branham 1992; Branham & Sanguin 1994; Shuygina & Yagudina 1995; Vityazev & Yagudina 1997; Yagudina 1996, 2001), and also to be applied to the masses estimation as in
(Hilton 1996; Krasinsky et al. 2001; Rapaport & Viateau 1996;
Viateau & Rapaport 1995, 1997) or even the
"tentative interpretation" given by Mignard & Froeschlé (2000) according to a
variation of the precession constant. (See also Zhu & Yang 1999, on the
same question, using the PPM and ACRS catalogues). In short, it is of interest
to determine the most suitable model, given the fact that for the above-mentioned studies
the use of one model does not provide the same results as the use of another.
A second objective is, it may be say, static and consists of being able to
relate, at any given instant, a correction to the position in one system to
obtain an accurate reduction in the other. We need a function, whether explicitly given or not, that
approximates the initial points with sufficient accurancy and that is also defined over
the whole sphere with the least possible standard deviation. In a later section it will become evident that the standard
deviations obtained from the use of rotations plus spherical developments will render them unsuitable
for this purpose.
- 2)
- The second motivation is of mathematical nature concerning the methods, models and their expected properties. This conditions the way rest of the paper is organised. Specifically, we show that the selection of the correction model commonly used, the GL model, is not suitable for use bias exists in the data. We propose the use of an unbiased model since this is the only model that provides minimum variance when applying the least square method. We also show that this implies a considerable change in the value of the rotation around the z-axis. These results are confirmed by means of two independent verifications using spherical harmonics and regression kernels, respectively. Finally, we conclude, with Mignard & Froeschlé (1997) that it is not appropiate to apply an analytical expression to corrections on the whole sphere and it is possible to provide a table resulting from a nonparametric regression method which strongly agrees when it is only applied to the basis points.
In order to clarify all the questions that arise from the problems we are concerned with, we have included a section devoted to a critical discussion about the correct use of the usual mathematical background as it is related to three specific models of correction.
In further sections, we consider the selection of the data and their properties, the GL and GV models with a critical comment that will lead us to the introduction of the GLAD model (GL model plus bias coefficients to the right ascension and declination). Furthermore, we use kernel regression and spherical harmonics adjustment to contrast the values for the most simple models directly obtained. This is a good property that assures the internal coherence of the results obtained.
The paper ends with two final sections corresponding to the two main objectives, which are outlined in the preceding paragraphs. The first of these provides two independent verifications of the accuracy of order of the magnitude of our
value from the GLAD model, which is independent, and this is a very important point, of the initial model adopted: regardless of wether it is GL or GLAD. The second concerns the use of mixed models for the global adjustment to be applied to the whole sphere and we work only with parametric (GL or GLAD with spherical harmonics adjustment) or GL or GLAD plus non-parametric models (hence, the mixed name used). In this section the use of a GL or GLAD model as a basis model is not important if we only examine the final results, but this is not the case if we also look at the contribution of both components in the result.
Over recent decades, a large number of papers dealing with the
relationships among different catalogues have been published. The aim of all these
papers is to obtain functional relationships among catalogues to
approximate the differences
and
.
They are obtained by employing different models on a
discrete set of points. Of the different models dealing only with the
complete sphere, we can highlight those that obtain a transformation by
means of infinitesimal rotations, those that pursue harmonical
developments for each one of the random variables separately (Schwan 2001a; Bien et al. 1978),
those that, from spherical harmonics developments for each variable attemp
to deduce through the use of statistical methods, whether or not a
transformation by infinitesimal rotations exists (Vityazev 1997a) and also those that
look for vectorial spherical harmonics developments (Mignard & Froeschlé 1997, 2000). Below, we strongly contend that different
questions must be taken into account in order to analyse the reliability of the results obtained. In
particular, there are several mathematical disciplines clearly attached to
the building of models and to the computation of parameters and several
properties dealing with those disciplines that play a part in this
reliability. We specify them in the following points:
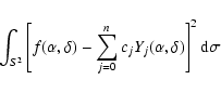
- 1a)
- The surface spherical harmonics developments (henceforth SH) are based on the hypothesis that the developed functions have an integrable square on the sphere. In this case, the coefficients are found according to precise formulas in a simple way due to the functional orthogonality of these
harmonics. Also, this orthogonality implies that if the
truncated series of increasing orders is computed, to better approximate the original
function, the coefficients may be used for the next orders. It is
interesting to note that the computation of the coefficients
,
for a given function f, and where a truncation order nis
,
verify the property of minimizing the
integral:
![\begin{displaymath}\int_{S^2}\left[ f(\alpha,\delta )-\sum_{j=0}^{n}c_jY_j(\alpha,\delta )\right] ^2{\rm d}\sigma
\end{displaymath}](/articles/aa/full/2004/18/aa0441/img9.gif) |
(1) |
where d
is the area element in the spherical domain.
- 1b)
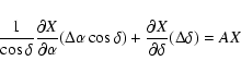
- In general, a vectorial field may be linearly approximated around the
identity by means of the addition of an antisymmetric and a
symmetrical transformation. If the field is given by the difference
where X is the unitary
tridimensional vector in spherical coordinates, the antisymmetric part is
geometrically related with a transformation by means of infinitesimal
rotations and the symmetrical part is related with a possible deformation
that, strictly speaking, makes no sense. Thus, we have the expression
where
![\begin{displaymath}A=\left[
\begin{array}{ccc}
0 & \epsilon _z & -\epsilon _y \...
...ilon _x \\
\epsilon _y & -\epsilon _x & 0
\end{array}\right].
\end{displaymath}](/articles/aa/full/2004/18/aa0441/img13.gif) |
(2) |
Orthogonality of vectors
with respect to the usual scalar
product leads to the fact that the following relationships should be accomplished in order to obtain the necessary and sufficient conditions for the existence of (2):
 |
(3) |
 |
(4) |
- 1c)
- Still more generally, we can consider the vector field
on the unitary sphere, given by
.
We know that under certain regularity
hypothesis it has a development in vectorial spherical harmonical functions
given by (5),
(Morse & Feshbach 1953)
 |
(5) |
where Yn,m
are the usual spherical
harmonics. If we consider the truncated development:
![\begin{displaymath}\overrightarrow{\Delta X}=\sum_{j=-1}^{1}\left[
c_{1,j}\overr...
...errightarrow{S}_{1,j}+e_{1,j}%
\overrightarrow{T}_{1,j}\right]
\end{displaymath}](/articles/aa/full/2004/18/aa0441/img20.gif) |
(6) |
where
is approximated in first order, the compatibility of the system
must be accomplished, which implies the functional relationships:
![$\displaystyle \left( \Delta \alpha \right) \cos \delta = \left[ e_{1,0}\cos \de...
...a \sin \delta \right]
+ \left[ d_{1,1}\cos \alpha - d_{1,-1}\sin \alpha \right]$](/articles/aa/full/2004/18/aa0441/img22.gif) |
|
|
(7) |
![$\displaystyle \Delta \delta =\left[ e_{1,-1}\sin \alpha -e_{1,1}\cos \alpha \ri...
...lpha \sin \delta - d_{1,-1}\cos \alpha \sin \delta + d_{1,0}\cos \delta \right]$](/articles/aa/full/2004/18/aa0441/img23.gif) |
|
|
(8) |
where it is evident that
,
,
with
and
are infinitesimal rotations around the corresponding axis. Hence, this model
generalizes the previous one.
If we denote any of the second
members of the models given in 1a), 1b) and 1c) as
and
,
it is also possible, a priori, to
compute the coefficients that minimize the integral of the residuals:
![\begin{displaymath}\int_{S^2}\Big\{ \big[ \left( \Delta \alpha \right) \cos \del...
...elta \delta -{\it Model}(\delta )\big]
^2\Big\} {\rm d}\sigma.
\end{displaymath}](/articles/aa/full/2004/18/aa0441/img30.gif) |
(9) |
The difference between SH, GV in one way and GL in the other way is evident:
the condition of the minimization in the L2(S2) norm to compute the
coefficients of the model is inherent to the fact that the function (SH case)
or the vectorial field (GV case), under certain regularity hypothesis, may be
developed in a series (of spherical surface and vectorial harmonics
respectively). In both cases we are projecting a function on the functional
subspaces generated by all the functions with orders equal or lower than the
order of the development pursued. In both methods it is possible to
increment the order arbitrarily (at least, theoretically. This is not so if we have a discrete set of points, as in our case). In the GL method the order is fixed and, in functional terms, it does not reach first order, because GV is the only one of first order.
In addition, when we have a finite number of points we must use special methods to
obtain solutions close to the theoretical ones. These methods may be
"grosso modo'' classified in two kinds, the discretization methods and the
statistical regression methods, in particular the parametric ones. In the
first type we work with functions, while in the second, we work with
random variables. In this vein, according to the desirable properties in each one of the procedures, the following remarks can be made:
- 2a)
- The spatial distribution of the points over the sphere. When the distribution in the
and
variables is uniform (with discretization of differentials such as d
with h,k constants), the discretization of the integral using the method of rectangles provides the same summation as that which appears statistically, if a model originating from the truncation of a series of orthogonal functions is used (in surface
spherical harmonics or in vectorial spherical harmonics). Small variations in this property will give small
variations in the results, and the property given in the next point must be
taken into account.
- 2b)
- The application of a parametric regression statistical method is based
on the Gauss-Markov theorem, which affirms that the minimum-quadratic
estimator is the best of the ones that appear when the residuals are
normally distributed with null mean and variance
.
Thus, if the
random variable is not normal with null mean, the least squares method cannot give us the unbiased estimator of minimum variance that we
are looking for.
The difference between 2a and 2b should be noted. The former refers to the fact that the spatial distribution
of the points
on the celestial sphere is, more or
less, homogeneous. The latter refers to the distribution of the
random variables
and
.
It is
clear that the effectiveness of the selected model depends on both properties and
the absence of either of them may be determinant, fundamentally with the 2b property, as we shall see in the cases
we are dealing with in the present paper.
It should finally be pointed out that, in practice, we are looking for a
functional adjustment (with its previously signalled differences and the
importance for the expected results), by means of a least squares method
(When using this method the corresponding properties must also be observed). The
stability of the results, a concept that must be revised for each
case, will give us qualitative information about the solution obtained, and
will thus be an index of its reliability. Below, we continue with the data selection and the study of their properties, in the way already mentioned in 2a and 2b.
To carry out the present study we considered the catalogues Hipparcos (ESA 1997) and FK5 (Fricke et al. 1988). We agree with Schwan in that from a methodological
point of view, it is appropiate to make the comparison between the two catalogues
at the J2000 epoch since the proper motions from the
Hipparcos catalogue are better than those from the FK5 catalogue
(Schwan 2001a). However, our study is undertaken at 1991.25 for two reasons. The first of these
is of a practical nature, because the "official'' relationships given by
infinitesimal rotations between the two catalogues, which are included in Vol 3 of Hipparcos, established by Mignard and Froeschlé, and the further study
published by the same authors (Mignard & Froeschlé 2000)
are made at 1991.25 The second
reason is that Schwan himself, in his previously mentioned paper, concludes
that the transfer of the results that he obtains from J2000 to 1991.25 give very similar results to these. Thus, our reference
date will be 1991.25. In the first step, we applied the corresponding
proper motions to the FK5 stars. Then, we selected the
star according to the same criterion used by Schwan (2001a), so 1327 stars
verifying the conditions (10) were selected for use in the studies presented throughout the paper:
| |
|
 |
|
| |
|
 |
(10) |
The characteristics of the data that we are particularly interested in are as follows: firstly, the spatial distribution of the stars in order to see
how close they come to forming an homogeneous sample; secondly, the statistical
distribution of the random variables
and
,
considered as a set of numerical data. The spatial
distribution may be seen in Fig. 1 where
is found in
the abscise axis,
in the ordinates axis and the distribution, which is practically homogeneous, was
approximated by means of the Epanechnikov kernel (Simonoff 1996) for two variables
(see Formula (12)).
From a numerical point of view, we computed the arithmetical mean and
the standard deviation of the corresponding variables and also, by means
of the Epanechnikov kernel, we computed the expectation and the standard
deviation from the expectation of the variables, of their squares, using the
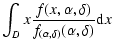
well-known formulas (11):
![\begin{displaymath}\mu =E[X]=\int_Dxf_X(x){\rm d}x\quad \sigma ^2=Var(X)=E[X^2]-\left(
E[X]\right) ^2
\end{displaymath}](/articles/aa/full/2004/18/aa0441/img39.gif) |
(11) |
where
 |
(12) |
where K(x) is the Epanechnikov kernel (Simonoff 1996). Due to the discrete
character of this computation (the function approached by means of a kernel regression has no exact
expression) the integrals were approximated using the method of rectangles and
the trapezoidal rule. (In both cases the same values were obtained). The
results obtained may be seen in Table 1.
Table 1:
Means and standard deviations (results in mas).
Finally, the dependence of the two random variables is easily verified as the joint density function and the product of the two individual variables differ significantly.
To summarize this paragraph, it shuold be noted that the random variables
and
are not independent, and approximately distribute as normal
random variables (Figs. 2-4) with mean not null (whose values,
together with the corresponding standard deviations are given in Table 1) and
that they are spatially distributed over the sphere in a sufficiently homogeneous way (Fig. 1).
![\begin{figure}
\par\includegraphics[width=6cm,clip]{0441fig2.eps}
\end{figure}](/articles/aa/full/2004/18/aa0441/Timg42.gif) |
Figure 2:
Density function for
(we used the Epanechnikovkernel, h=66 mas). |
| Open with DEXTER |
![\begin{figure}
\par\includegraphics[width=6cm,clip]{0441fig3.eps}
\end{figure}](/articles/aa/full/2004/18/aa0441/Timg43.gif) |
Figure 3:
Density function for
(we used the Epanechnikov kernel, h=86 mas). |
| Open with DEXTER |
![\begin{figure}
\par\includegraphics[width=6cm,clip]{0441fig4.eps}
\end{figure}](/articles/aa/full/2004/18/aa0441/Timg44.gif) |
Figure 4:
Joint distribution for
and
(we used the Epanechnikov kernel,
mas,
mas). |
| Open with DEXTER |
Once a dependence between the
random variables had been established through experiment, it made sense to look for a model of adjustment where
parameters common to both of them appear. As we explained in the
introduction, the most frequently used model considers that there is a
transformation by infinitesimal rotations between the two catalogues. This model
leads to Eqs. (3) and (4) has also been used recently. The
model deduced from the development of the vectorial field of the residuals
in right ascension and declination by means of vectorial spherical
harmonics (Eqs. (7) and (8)).
Table 2 reflects the results we obtained with the GL and GV compared with those of (Mignard & Froeschlé 2000, henceforth MF). In numerical terms, the coefficient values are very similar for the GL coefficients, the numerical differences depending on the basis set of stars selected. The small differences given by MF in (1997) and (2000) can also be observed: they obtain
and -17.3,
and -14.3,
and 16.8 mas.
In spite of the fact that the difference between the methods employed by MF and Schwan is also found in the study of the zonal residuals (this pointis dealt with below), in the context of this section we only consider that the pure rotations relating the two catalogues are
computed from different models, as Schwan uses the GL model (Eqs. (3) and (4)) and MF use the GV model (Eq. (5)).
Table 2:
Results from MF and our results (GL and GV) (Results in mas).
The values for the deformation elements of MF were not available and thus they do not appear here. It is noticeable that, with the exception of d1,1, they cannot be neglected, but we presume that they were not published
because the zonal study must absorb these differences.
In all events, from a purely statistical point of view, we are interested in
results that allow us to study the reliability of the adjustment. In the first
place, the means (expectation) of the random variables and those from
the second members should be coincident if the model is good. This would indicate
that we have an unbiased model, which would lead to the fact that the
application of the Gauss-Markov theorem will assure us that, in the clategory of
the functional estimators considered (which are, in fact, determined by the
parameters), the one obtained is that of the least variance. The kernel method can be used to check whether the property is verified, but, for
our purposes, it is sufficient to compute the mean of both members on the set of 1327 selected common stars. The "a priori'' means of the
differences
and
are,
respectively 11.4 and -46.0 mas. The second members (estimators) provide the
means listed in Table 3.
Table 3:
Means of various models compared with the mean of the sample (in mas).
In conclusion, for the random variable
the mean is not reached with any of the models. For
all the models are biased, with the exception of the GV, when the
deformation terms are also considered. To maintain the most simple
possible unbiased model for both random variables, we can modify the GL by
adding a constant
in formula (4), (GLD Model, Lopez et al. 1993). After making the
adjustment the values
,
,
and
are
obtained, providing the means for the adjustments that appear in
Table 3. In conclusion, we can see that the bias in declination has been absorbed
in the GLD model, but not the bias in
.
Following the last section, our aim is to obtain a unbiased modified GL model for both
random variables. For this reason we include a
in the second
member of (3), as we previously did to eliminate the
bias in declination. This model is denoted GLAD (see (13) and (14)).
Table 4:
Parameter values for the GLAD, MF, GL and GLD methods and
means and standard deviations for the residuals (in mas).
It may be observed that the GLAD method absorbs the bias for the right
ascension and for the declination. This is explainable in terms of the
unbiased properties and of the properties of least variance: indeed, if we take
the generic model:
 |
(13) |
 |
(14) |
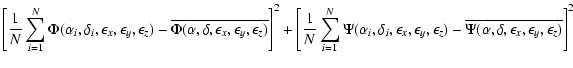
and we compute the values of the parameters in such a way that they minimize
![$\displaystyle \left[ \frac 1N \sum_{i=1}^N\Phi (\alpha _i,\delta
_i,\epsilon _x...
...\overline{\Psi (\alpha ,\delta ,\epsilon _x,\epsilon
_y,\epsilon _z)}\right] ^2$](/articles/aa/full/2004/18/aa0441/img62.gif) |
|
|
(15) |
with N=1327 representing the number of stars and the line over the functions denoting
arithmetical mean. The results obtained are from GLAD, listed in Table 4.
It should be noted that in order to apply the normal equations, the means of
products such as
,
etc. must be previously computed. The
functions
and
are:
It may be observed that the initial bias has been correctly absorbed, but
the values of
are quite different from those obtained by other methods that only use infinitesimal rotations.
While the GLAD method absorbs the bias in Right Ascension and in Declination,
the other methods show a good behaviour in Declination but not in Right Ascension,
which may be explained by the fact that these models contain the term
.
In spite of the fact that the GLAD model is the one that best agrees with the
unbiased condition, the variation in the coefficient of the
parameter requires an explanation for it to be accepted or rejected.
This question will be studied below.
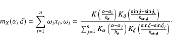
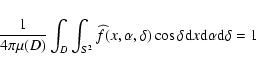
It should be remembered that nonparametric adjustments by kernels compute the
conditional mean of a certain random variable that depends on
other variables. Thus, for example, if X is the random variable (
or
)
the method consists of finding
where D is the spherical domain of X,
is the joint density function of the three variables and
is the marginal density (Wand & Jones 1995).
Of course, all of them may be unknown so they should be approximated in some way and,
to this end, we can proceed in the same way as in the previous section. Thus, we
approximate
 |
|
|
(18) |
and the condition
must be fulfilled. The same occurs with the marginal density. Selecting the same kernel
and taking into account its properties we arrive at an expression similar
to the Nadaraya-Watson expression, but in the sphere:
 |
(19) |
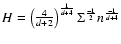
This method has the following property: if we take
and
then
.
In other words, the lower h is, the more abrupt the
adjustment and, on the contrary, a large h gives a smoother result. The theoretical optimum values are
which were deduced from the expression
(Simonoff 1996), where H is the vector of the different values of h, d=2(dimension), n the number of points and
the variance-covariance
matrix of the random variables of the joint spatial distribution for
that, as previously mentioned, has two
practically uniform random and, of course, independent variables. Despite this expression being
true when a Gauss kernel is used, we experimentally checked
that the adjustment is similar to that one obtained with the Epanechnikov
kernel. Contour levels are shown in Figs. 5 and 6 for right ascension and declination respectively.
In order to verify how good the different obtained models are, we
study the mean and the variances of the random variables from the net of
points built for the regression (100 per 50 cells) To this end we apply the
continuous definition. This requires numerical approximations of the
integrals, and their comparison with the initial values and with those proposed by the
restriction of the regression to the initial points.
Table 5:
Means and standard deviations for the initial points, for
the complete sphere and the discrete sample points after the smoothing
process (in mas).
![\begin{figure}
\par\includegraphics[width=6cm,clip]{0441fig5.eps}
\end{figure}](/articles/aa/full/2004/18/aa0441/Timg91.gif) |
Figure 5:
Contour levels for
by means of the KNP model (in mas). |
| Open with DEXTER |
![\begin{figure}
\par\includegraphics[width=6cm,clip]{0441fig6.eps}
\end{figure}](/articles/aa/full/2004/18/aa0441/Timg92.gif) |
Figure 6:
Contour levels for
by means of the KNP model (in mas). |
| Open with DEXTER |
It can be observed that the means are comparable for the initial points, for the
regression with the kernel and for the values that this one induces for the
initial points, while the standard deviations of the regression and the
regression on the initial points decrease significantly, due to the
occasional smoothness induced by the regression method (see Table 5).
From this point, we study the values of the parameters that the nonparametric adjustment induces on the sphere for the GL, GLAD and GV models. This will serve as a contrast of the models in order to study an
optimal strategy of adjustment. To this end, we take expression (9),
where as
we take its nonparametric
adjustment
and as
the
adjustment
.
Thus, we can obtain the normal equations in a simple way
and for any given model because the coefficients of the
parameters to estimate are integrals which are easily computed, while the
two independent terms may be computed by numerical integration from the
evaluation of
and
on discrete points. To preserve the orthogonality and also for convenience,
we take these points equally spaced. Let us take
and 1 for the identically one function.
Also, let
be the usual scalar product for the real functions on the
sphere and let us apply the condition of minimum to the GLAD, for example.
We obtain the equations Ax=b where
and:
![\begin{displaymath}A=\left[
\begin{array}{ccccc}
1 & 0 & 0 & \pi /4 & 0 \\
0 & ...
...\left\langle \Delta \delta ,1\right\rangle
\end{array}\right].
\end{displaymath}](/articles/aa/full/2004/18/aa0441/img98.gif) |
(20) |
The corresponding equations for the GL model are, obviously, a particular
case of these last equations. In Table 6 we present the values of the parameters in the GLAD and GL
models, induced from the nonparametric adjustment according to the
optimal values for the h together with the means and variances of
or
that have the residuals after the adjustment with the two models, taking the
initial stars. We
also present the same statistical data for the residuals of the nonparametric adjustment (henceforth KNP).
Table 6:
Means and standard deviations induced by the models in the initial subset of stars (in mas).
It is interesting to note that the good behaviour of KNP for the 1327 reference stars is repeated over the complete sphere, where
and
.
This data leads us to the
following conclusions about KNP:
- a)
- The model, applied over the sphere, has mathematical expectations for
and
which to a large extent
agree with the expectations of the random variables computed in
Sect. 2 (see Table 1).
- b)
- Equally, for the basis set of stars, there is an agreement between the
sample mean and the mathematical expectations that show the coherence
of the distribution of the initial points over the complete sphere.
- c)
- The variances decrease as a consequence of the data smoothing process.
For these reasons the means and expectations of the
residuals
and
would be significant for the pruposes of our contrasts.
In Tables 7 (basis point with sample means and standard deviations of the sample)
and 8 (complete sphere with mathematical expectations and variances) these
data appear for the MF, GL, GLAD direct (see Table 2) and GL, GLAD induced
by regression (see Table 6) models.
Table 7:
Means and standard deviation for Points-model on the
initial discrete points (in mas).
Table 8:
Means and standard deviation for Points-model on the
complete sphere (in mas).
The following conclusions can be drawn from this section:
- 1)
- The existence of a pure rotation between the FK5 and Hipparcos seems to
be strongly implied by the stability of the coefficients
and
which were obtained by applying all the
models. The value of
,
when taken into account by the model, is also very stable.
- 2)
- On the contrary, uncertainties appear when we have to choose between
and
since they are strongly correlated. This will
lead us to the possibility of using, as other authors have previously
done, a mixed procedure which may consist of a GL or GLAD in addition to a KNP or a spherical harmonics adjustment. This question is studied below.
A contrast for the
value is presented in a later section.
- 3)
- However, after considering the results in
Tables 7 and 8 it seems
that, given that there is a bias in the initial sample in
and also in
,
the adoption of a model such as
GLAD may be recommended.
As we saw in the data analysis, the spatial distribution is practically
homogeneous. This implies that the orthogonality of the spherical harmonics
in the celestial sphere is well maintained in the discrete case from an
algebraic point of view. The immediate consequence will be sufficient
stability in the values of the coefficients of the developments when we
increase their degree. In our case, we arranged the
adjustments from degree 0 (where the arithmetical mean of the corresponding
random variable should appear) to degree 5. In Tables 9 (for
)
and 10 (for
)
we
show the results for the different adjustments, although the
coefficients up to order 2 are given.
From a statistical point of view, it should be stated that all the means of
the residuals are null, while the variances are decreasing at the same
time. Table 11 shows the standard deviation of the random
variables according to the orders of the adjustments.
In spite of the decrease in the standard deviation, the increment of the order
of the adjustment implies two difficulties consisting of the increment in
the number of operations and, related to this, the decrease in the stability
of the calculated coefficients. As a consequence, we maintain the order low,
equal to or under five, and continue the analysis with them. These
orders provide an acceptable stability for the coefficients, and it would therefore be interesting to see the values of the parameters that they induce for the GL, GV and GLAD models. More precisely, if
represents a spherical
harmonics adjustment (for
or
and the order is any value between 0 and 5) and
is one of the models
(GL, GLAD or GV) with parameters
,
then for each star iinstead of working with the real values of
or
in the condition equations, we can consider the following equations:
Table 12 reflects the values obtained and shows how the values for each one of the different
parameters correspond quite well with those obtained directly. Bearing in mind
that these last values have been indirectly deduced from an
independent adjustment it is an acceptable verification for the
accuracy of the parameters obtained.
We now carry out a statistical study, similar to that detailed in the previous
section. Table 13 the references are the spherical harmonics (for the SH,
with n=2, 3, or 4 representing the order, we refer to the initial points) or KNP (we refer to the sphere)
Table 9:
Coefficients for
development in
spherical harmonics series (in mas).
Table 10:
Coefficients for
development in spherical harmonicsseries (in mas).
Table 11:
Standard deviations for the different orders of the adjustments in
spherical harmonics (in mas).
Table 12:
Induced parameters for the different models from spherical harmonics
developments (in mas).
Table 13:
Statistical values for the differences between KNP and different SHs (complete sphere) and SHs minus GL and GLAD inducted models (basis points, in mas).
The following consequences are presented:
- 1)
- The means of the residuals between KNP and SHn (for n=2, 3, 4) are null (evaluated in the
complete sphere) and at the same time the standard deviation of the residuals are
very similar to the deviations of the spherical harmonics with respect
to the basis points in such a way that, with respect to the significance of the
parameters, the models seem, in principle, to be adequate.
- 2)
- Nevertheless, if we observe the means and deviations of SH with respect to
its induced models GL and GLAD, the first is biased in
and GLAD is practically unbiased for both
variables and also has relatively lower deviations than those corresponding
to KNP with the basis points, although they are comparable to them in the
complete sphere.
The first main aim of this paper concerns the fact that the difference between our GLAD model and the GL, lies in the difference between their corresponding
values. The main intrinsic
difference between them rests on whether or not a value for
is chosen. This is because there is a certain correlation between
this value and
because of the factor
that
contains the latter: where
is the sum of the unity and an infinite development with
as a variable. All the even order
harmonics contribute something to the development, including the
unity function itself. Thus, we need an independent method that gives us an idea of the true magnitude order of this parameter and to this end we can proceed in the following way: the KNP method consists of smoothing the data, which
indicates that its calculation does not vary the rotations
intrinsically contained in the initial data. In addition, we have spherical
harmonics developments, also deduced from the initial data and exposed
in Table 9 for the random variable
.
Where
is the
coefficient, it is functionally dependent on
the even harmonics and among these, the order 2 harmonic is
independent of the coefficient of
in the GLAD model, and it is also
orthogonal to the coefficient functions of
and
.
Thus, it is particularly suitable to estimate the order of the
magnitude
,
which gives
.
The
calculations provide us an approximate value of 85.13 mas, which is in
relatively strong agreement with those obtained with the (direct or induced) GLAD models.
Alternatively, it is possible to consider the harmonical development
of order 3 and after obtaining the scalar product,
,
with
c20=31.22. From this, we obtain an estimation of 63.62 mas, in this
case which once more is better than the orders provided by the GLAD models. It is
of interest to reiterate the independence of whether or not a value
for
is considered, which strengthens the viability of the best modelization of
data obtained with the GLAD model induced by the optimal KNP.
We now turn to our second goal; to decide what the best combination of an initial model could be, such as GL or GLAD, plus another complementary which may be a spherical harmonics adjustment (such as those proposed by
Schwan) or a nonparametric adjustment by kernels to build a net of
points with their associated values and proposing a table (in the same line
as that recommended by Mignard &
Froeschle 2000). In the following subsections we deal with these questions more precisely.
It is well known that in theory, the spherical harmonics developments may be obtained with as high a
degree as
desired. Hence, the variances decrease. In practice, the
increase in the order implies, in addition to a large amount of
calculations, an unavoidable increment in the instability of the coefficients.
Although the distribution of points is close to uniform
(see Sect. 2) it is clear that it is not so in a strict sense, and there is therefore a potential
instability in the parameters of the development that is to be obtained. Taking into
account that we want this distribution to be representative
of the sample (which it is, since it deduces from it immediately) in the
whole sphere, the zero order coefficients should approach
the mean of the sample as closely as possible, in such a way that the estimator model
has a very similar expectation to this mean. To clarify this simple
question, all the parameters for each adjustment have been set free instead of
increasing the order and maintaining the parameters with high reliability. As
we saw in Tables 9 and 10, from order 4 on the variation of the main coefficient is
notorious, and consequently an adjustment of order 3 was taken as a starting point.
The values of the mean and standard deviation of the residuals over the basis
points are given in Table 11 and to compute the corresponding
expectation and standard deviation over the sphere, the adjustment KNP was
used in auxiliary form, instead of the basis points, computed on the
nodes of 100 per 50 cells. The results are presented in Table 13. The same table
provides the statistical results for the differences, for the initial
points, between this adjustment and the GL inducted and GLAD
inducted models. We can see that GLAD is unbiased, while variances are lower for GL.
It is immediate to check that, for a given set of data, there is no difference between beginning with a GL and applying a spherical harmonics adjustment to the rest, or
beginning with a GLAD and continuing with the spherical harmonics adjustment. Only the
appearance of the expression and not the values of the final adjustment vary.
Moreover, in both cases the means are null and the variances change with the
order in the same way as indicated in Table 11. We can conclude, in
agreement with MF, that it is not possible to significantly deduce
the standard deviations of the residuals by means of an increment in the
order of the development. This does not mean that it is not of interest to
obtain as good a development as possible. In all events, we must point out that when
considering the functions over the sphere, the behaviour of both developments
is different (we must not forget that in the discrete case, they are
identical). The expectations are null for the GLAD and not for the GL. The
variances are also lower for the GLAD. For example, for the right ascension
it varies from 45.88 for the 3rd degree to 44.62 for the 15th,
in the GL model, while
in the GLAD model, it varies from 43.44 to 42.17 for the same orders.
Therefore considered as a whole, it turns out that from a statistical point of view the
adjustment obtained by summing up GLAD and the spherical harmonics for the
differences is slightly better in the discrete and continuous case.
We have seen that the GLAD method is an unbiased method of minimum
variance and it adapts perfectly with small variations, from a continuous
point of view and also from a basis points point of view. The best
complement for this method will be the KNP of the resulting residuals, with
the optimal values for h already used.
In particular, we have taken the GLAD model induced by the KNP found with
the optimal values of the different h for the initial differences.
A new KNP was applied to the
differences between these and the ones given by the application of the
model, evaluated in such a way that 100 per 50 cells were built, with a value on each one of the nodes. From this,
the following statistics were obtained for the resulting final residuals:
for the complete sphere, the expectation for both random variable is -2.99 and 0, while the standard deviations are 3.87 and 0.65 respectively. The
statistics corresponding to the basic initial points are -0.4 and -0.92 for
the arithmetical means and 12.07, 12.91 for the deviations. The final residuals are very close to the zero value.
The results, taking as a basis the GL model, are similar or even better at
the end, due to the fact that the model itself improves very slightly when
compared with the
initial errors (or its KNP adjustment) so in this case there
is an improvement of the contribution of the model itself. It may be said that
in the case of taking the GL model as a basis, almost all the correction is given by
the nonparametric part. From this point of view, this slight statistical
superiority (better expectation and final variance) is less interesting.
- 1)
- There is a bias in
and also in
.
The former is more delicate to deal with.
- 2)
- The usually employed models search for infinitesimal rotations by means of
the least squares method, but they do not remove the bias.
- 3)
- For any of the methods used, direct or indirect, there is a clear
evidence of the existence of rotations. The
rotations and the displacement
are very stable. The existence of
the bias in
makes the introduction of a
coefficient in the adjustment cause a noticeable variation in
the
value.
- 4)
- While we are interested in a global adjustment for the whole sphere and we also want, as far as possible, this adjustment to be
determined by certain parameters that will allow us to decide whether
or not there is a pure rotation between the two catalogues.
- 5)
- The SH and KNP models do not make any supposition about dependence on right ascension and declination residuals. Therefore, we can use them in three ways: first, to see the GL and GLAD coefficient values that they imply; second, to decide on the
value for two independent methods; third, to complete a basic GL or GLAD method in order to remove the remaining zonal errors.
- 6)
- All these difficulties led us to conduct a study that from the
outset took into account the global point of view of the adjustment
that we are prusuing. Thus, discussion of the models followed by the study of the mathematical methods and their compatibility with them, was required as a previous condition to finding the earlier conclusions.
- 7)
- The final conclusion on the most appropriate model to modelize Hipparcos-FK5 residuals is the GLAD model, not only for its statistical properties for the basis points, but also because these properties are extended to the whole sphere. However, a further possibility would be consider an
value depending on zones in declination. This aim is beyond the scope of this work, in which we have prefered to focus on global values for the coefficients in the same vein as the papers of (Mignard & Froeschlé 2000; Schwan 2001a)
- 8)
- As for the second goal of the paper, despite having mathematical security that bias and rotations between the systems exists, neither the models with rotations nor the models with rotations
plus deformations seem enough to explain the zonal errors. A mixed model must be used which combines a basic one, such as GL or GLAD, and a KNP adjustment to build a net of points with their associated values to provide a numerical table.
Acknowledgements
We are very grateful to Dr. F. van Leeuwen for his suggestions and comments. We are also very grateful to Fundació Caixa Castelló BANCAIXA which has partially supported this paper.
- Batrakov, Y. V.,
& Chernetenko, Y. A. 1997, Journés 97, Systemes de
reference Spatio-Temporels, ed. J. Vondrak, & N. Capitaine
(Prague), 22
(In the text)
- Batrakov, Y. V.,
Chernetenko, Y. A., Gorel, G. K., & Gudkova, L. A. 1999,
A&A, 352, 703 [NASA ADS] (In the text)
- Branham, R. L., Jr.
1992, AJ, 103, 6 [NASA ADS] (In the text)
- Branham, R. L.,
& Sanguin, J. G. 1994, Proceedings of Third International
Workshop on Positional Astronomy and Celestial mechanics (Valencia,
Spain), 429
(In the text)
- Bien, R., Fricke, W.,
Lederle, T., & Schwan, H. 1978, Veröff. Astron.
rechen-Inst (Heidelberg), No. 29
(In the text)
- ESA 1997, The Hipparcos and
Tycho Catalogues, SP-1200
(In the text)
- Fricke, W., Scchwan,
H., Lederle, T., et al. 1988, Veröff. Astron. rechen-Inst.
Heidelberg, No. 32
(In the text)
- Krasinsky, G. A., Pitjeva,
E. V., et al. 2001, Russian Academy of Sciences, Institute of
Applied Astronomy, 139
(In the text)
- Hilton, J. L. 1996,
Proceedings of Fourth International Workshop on Positional
Astronomy and Celestial mechanics (Penyscola, Spain), 281
(In the text)
- Lopez, J. A., Marco, F.
J., & Martinez, M. J. 1993, Proceedings of Second International
Workshop on Positional Astronomy and Celestial mechanics (Valencia,
Spain), 279
(In the text)
- Mignard, F.,
Froeschlé, M., & Turon, C. 1997, in The Hipparcos and
Tycho Catalogues, SP-1200, 3, 415
(In the text)
- Mignard, F., &
Froeschlé, M. 2000, A&A, 354, 732 [NASA ADS] (In the text)
- Morse, P. M., &
Feshbach, H. 1953, Methods of Theoretical Phisics
(McGraw-Hill)
(In the text)
- Rapaport, M., &
Viateau, B. 1996, Proceedings of Fourth International Workshop on
Positional Astronomy and Celestial mechanics (Penyscola, Spain),
237
(In the text)
- Schwan, H. 2001,
A&A, 367, 1078 [EDP Sciences] [NASA ADS] [CrossRef] (In the text)
- Schwan, H. 2001,
A&A, 373, 1099 [EDP Sciences] [NASA ADS] [CrossRef] (In the text)
- Schwan, H. 2002,
A&A, 387, 1123 [EDP Sciences] [NASA ADS] [CrossRef] (In the text)
- Simonoff, J. S.
1996, Smoothing Methods in Statistics (Springer-Verlag)
(In the text)
- Shuygina, N. V.,
& Yagudina, E. I. 1995, ed. S. Ferraz-Mello et al. (Paris,
France), Proc. 172nd Symp. IAU
(In the text)
- Viateau, B.,
Rapaport, M. 1995, A&AS, 111, 305 [NASA ADS] (In the text)
- Viateau, B., &
Rapaport, M. 1997, Journés 97, Systemes de reference
Spactio-Temporels, ed. J. Vondrak, & N. Capitaine (Prague),
130
(In the text)
- Vityazev, V. V.
1997, Dynamics & Astrometry of Natural and Artificial Celestial
Bodies, 463
- Vityazev, V. V.,
& Yagudina, E. I. 1997, Journés 97, Systemes de reference
Spactio-Temporels, ed. J. Vondrak, & N. Capitaine (Prague),
153
(In the text)
- Wand, M. P., & Jones,
M. C. 1995, Kernel Smoothing (Chapman & Hall)
(In the text)
- Yagudina, E. I.
1996, Proceedings of Fourth International Workshop on Positional
Astronomy and Celestial mechanics (Penyscola, Spain), 59
(In the text)
- Yagudina, E. I.
2001, Celestial Mechanics and dynamical Astronomy
(In the text)
- Zhu, Z., & Yang, T. 1999,
AJ, 117, 1103 [NASA ADS] [CrossRef] [MathSciNet] (In the text)
Copyright ESO 2004