A&A 377, 17-22 (2001)
DOI: 10.1051/0004-6361:20011064

Fe K $\mathsf{\alpha}$ line: A tool to probe massive binary black holes in Active Galactic Nuclei?

Qingjuan Yu1 - Youjun Lu2


1 - Princeton University Observatory, Peyton Hall, Princeton, NJ 08544-1001, USA
2 - Center for Astrophysics, University of Science and Technology of China, Hefei, Anhui 230026, PR China

Received 18 June 2001 / Accepted 20 July 2001

Abstract
Since many or most galaxies have central massive black holes (BHs), mergers of galaxies can form massive binary black holes (BBHs). It is possible that some BBHs exist in active galactic nuclei (AGNs). We argue that each BH may be surrounded by an accretion disc with a different inclination angle to the line of sight (due to different BH spin directions and the Bardeen-Petterson effect). The observed Fe K$\alpha $line profile from a BBH system is a combination of the lines from the inner regions of the two discs, which is significantly affected by the inclination angles of the two discs. The Fe K$\alpha $line profile associated with BBHs may have an unusual shape with double or more peaks as well as short-term variability (e.g. $\sim$104 s), which can be distinguished from the Fe K$\alpha $line properties of some other possible models. The precession of the two discs could introduce two un-related quasi-periodic signals in the X-ray continuum emission, which would be useful to constrain both of the BH masses. We suggest that with the improvement of resolution in X-ray astronomy, Fe K$\alpha $line profiles be a potential tool to probe the existence of massive BBHs in AGNs. The Fe K$\alpha $line profile associated with BBHs may also provide a tool to investigate the dynamics in strong gravitation field (e.g. providing evidence of the Bardeen-Petterson effect).

Key words: black hole physics - accretion - line profile - galaxies: active


1 Introduction

Much evidence indicates that massive black holes (BHs) reside in the centers of many or most galaxies (e.g. Magorrian et al. 1998). Mergers of galaxies are likely to form massive binary black holes (BBHs). Theoretical estimation shows that the BBH lifetime is not much shorter than the Hubble time and many BBHs should be still in the centers of galaxies (Begelman et al. 1980; Yu 2002). The existence of BBHs in the universe will not only provide a laboratory to test gravitation radiation theory and BH physics, but also probe of the hierarchical model of galaxy and large-scale structure formation.

Currently, there is no systematic and unambiguous method to identify BBHs. BBHs stay at a separation in the range 1016-1019 cm (e.g. 10-4-10-1 arcsec at 10 Mpc) during the slowest evolution period (Begelman et al. 1980; Yu 2002), and thus it is hard to resolve a BBH - two close galactic nuclei in the image - with current telescope resolution. The shallow cusps in the inner surface brightness profiles of some nearby giant galaxies may be produced from steep cusps by ejecting stars from their inner regions during the hardening of BBHs (Faber et al. 1997; Quinlan & Hernquist 1997), but there is still no proof of a currently existing BBH in those galaxies. To identify a BBH, we have to find some other effect of BBHs on their nearby environment and/or some manifestation of the motion in a two-body system, such as jet precession (Begelman et al. 1980), double-peaked Balmer lines (Gaskell 1996), or quasi-periodic radio, optical, X-ray or $\gamma$-ray variation (e.g. OJ 287: Sillanpää et al. 1988; Valtaoja et al. 2000; Mkn 501: Rieger & Mannheim 2000). Some active galactic nuclei (AGNs) have been claimed to be detected as BBH candidates by those methods, but all of them are controversial because of other explanations for the same phenomena or some inconsistency with other observational evidence.

If there is sufficient gas with some angular momentum close to a BBH, we may expect that the gas in the vicinity of each BH is accreting onto the BH in the form of a disc rather than in the form of spherical accretion, which may make the system appear as an AGN. If the binary separation is small (say, much less than the scale of the broad line region in an AGN), the two accretion discs may be warped at outer parts and connected with an outer large circumbinary accretion disc. If the separation is large enough, each BH is probably accompanied by its own disc and broad line region. The spin axes of the two BHs are very likely to be misaligned (Rees 1978; Begelman et al. 1980) and the discs in this two-accretion-disc (TAD) system associated with the BBH can also have different inclination angles to the line of sight.

AGNs are observed to be copious X-ray emitters. This X-ray emission is believed to originate from the very inner accretion disc (say, several tens of Schwarzschild radius) around a massive BH. The broad skewed iron K$\alpha $ line profile found by GINGA and confirmed by ASCA is believed to result from a combination of gravitational broadening and Doppler shift in an accretion disc (Tanaka et al. 1995)[*]. So far, alternative models have failed to account for this profile (Fabian et al. 1995; Fabian et al. 2000), which offers one of the strongest lines of evidence for the existence of massive BHs. X-ray spectroscopy also promises a powerful tool to detect strong-gravitation-field relativistic effects in the vicinity of a massive BH. The observed Fe K$\alpha $line profile is significantly affected by the inclination angle of the disc to the observers line of sight (Fabian et al. 1989; Laor 1991). In a BBH system, the observed Fe K$\alpha $line profile can be a combination of the line profiles from two discs with very different inclination angles to the line of sight. Motivated by this observation, we propose a method to probe BBHs in AGNs by Fe K$\alpha $line profiles. We expect that Fe K$\alpha $line profiles will become an efficient way to probe BBHs in AGNs.

2 Two accretion discs in BBH systems


  \begin{figure}
\par\resizebox{\hsize}{!}{\includegraphics{h3020f1.eps}} \end{figure} Figure 1: Schematic diagram of a BBH and its accretion discs: the BBH containing BHs m1 and m2 is rotating around the center of mass "O'' in circular orbits. A distant observer is located in the z-axis direction. The inclination angles of the two discs to the line of sight are $\theta _1$ and $\theta _2$, respectively. An example of Fe K$\alpha $line profile is plotted in the upper-right of this figure by setting $\theta _1=60^{\rm o}$, $\theta _2=5^{\rm o}$, the emissivity ratio $\epsilon ^0_2/\epsilon ^0_1=0.6$ (or equivalently the mass ratio m2/m1=0.6by assuming the two discs have almost the same dimensionless accretion rates), and p=2.5 (the exponent of the emissivity law in Sect. 3). The dashed line represents the component from the disc of the BH m1 and the dotted line represents the component from the disc of the BH m2. The solid line is the observed line profile, which is a combination of the two components.
Open with DEXTER

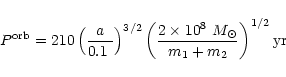
Consider a BBH containing BHs of mass m1 and m2 rotating around their center of mass (Fig. 1), the relative orbit of the two BHs is assumed to be circular with separation a. The Keplerian orbital period of the binary is

\begin{displaymath}P^{\rm orb} = 210\left(\frac{a}{0.1~\pc}\right)^{3/2}
\left(\frac{2\times 10^8~M_\odot}{m_1+m_2}\right)^{1/2} {\rm yr}
\end{displaymath} (1)

and their maximum orbital velocities relative to the center of mass in the line of sight are
 
$\displaystyle \vert v_i\vert=1.5\times10^3{\rm\,km~s^{-1}}\left(\frac{0.1~\pc}{...
...\left[\frac{2m_1m_2}{m_i(m_1+m_2)
}\right]\sin \theta_{\rm orb} \ \ \ \ (i=1,2)$     (2)

where $\theta_{\rm orb}$ is the orbital inclination to the line of sight. A moderate orbital eccentricity of the BBH orbit will not change the above values much. The orbital motion of each BH is ignored in the later calculation of Fe K$\alpha $line profiles since it only causes a slight overall Doppler shift in the profiles.

For a single rapidly rotating BH with mass m, the Bardeen-Petterson effect (Bardeen & Petterson 1975) can cause the gradual transition of the disc into the BH equatorial plane in the region between radii $10^4r_{\rm g}$ and $10^2r_{\rm g}$ (note that there are still controversies on the location of the transition radii, cf. Nelson & Papaloizou 2000 and references therein), where $r_{\rm g}=Gm/c^2$. Thus a planar disc could be formed in the equatorial plane of the BH. The timescale for the BH to align with the outer disc angular momentum cannot be estimated precisely, but is of the order of the overall lifetime of AGNs (Rees 1978; Nelson & Papaloizou 2000; however, a much smaller realignment timescale of the order of 105 yr is gotten by Natarajan & Pringle 1998). Massive BBHs are generally expected to be formed by mergers of galaxies. Before the mergers, each BH accretes material in its host galaxy and can be spun up by the accretion. The BH spin may quickly approaches to 0.998 (see Thorne 1974). Thus, in a BBH system, it is likely that both BHs have large spins and the spin axes can be in very different directions, especially in the early phase of the nuclear activity. This difference may not be changed in a time much shorter than the lifetime of the nuclear activity. Therefore, the two accretion discs associated with a BBH can have different inclination angles to the line of sight. Even if only one of the BHs has a large spin, it is still very likely that its spin axis is different from the disc direction of the other (Schwarzschild) BH.

The Roche radius of the smaller BH is about (m2/3m1)1/3a if m1>m2. If the two BHs have comparable masses and a typical separation of $\sim$ 104G(m1+m2)/c2, the inner region of each disc, at least within $r\lower.5ex\hbox{$\; \buildrel < \over \sim \;$ }10^3 Gm_i/c^2$, is not easily disrupted by tidal forces from the other BH. In a BBH system, the spin axis of each BH will undergo geodesic precession about its total angular momentum as discussed by Begelman et al. (1980). When the spin angular momentum of the binary is small compared with its orbital angular momentum ( $m_2/m_1\lower.5ex\hbox{$\; \buildrel > \over \sim \;$ }\sqrt{Gm_1/ac^2}$ if m1>m2), the spins will precess in a cone with the orbital angular momentum as axis. Their precession periods are given by:

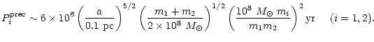
$\displaystyle P^{\rm prec}_i\sim 6\times 10^6\left(\frac{a}{0.1~{\rm pc}}\right...
...^{1/2}
\left(\frac{10^8~ M_\odot~m_i}{m_1m_2}\right)^2{\rm yr} \ \ \ \ (i=1,2).$     (3)

The precession may cause the two accretion discs to be tilted to their BHs equatorial plane, but the two disc inclination angles to our line of sight will not change in a short time. Detailed study of the dynamics and stability of the TADs in BBHs is beyond the scope of this paper.

3 Emergent Fe K $\mathsf{\alpha}$ line profiles from BBH systems

We have argued that there are good reasons for the existence of TADs with different inclination angles to the line of sight in BBHs. We shall assume that both discs are cold thin accretion discs. The observed Fe K$\alpha $line profile is then the summation of the two components from the TADs. The combined line profile is mainly controlled by the inclination angles of the TADs and the relative strength of the two components. The relative strength is related to the mass ratio of the two BHs and the accretion rates onto them (if the two accretion systems have almost the same dimensionless accretion rate $\dot{m}=\dot{M}/\dot{M}_{\rm Edd}$, where $\dot{M}$ is the accretion rate and $\dot{M}_{\rm Edd}$is Eddington accretion rate, the relative strength of the two components will be given by the mass ratio m1/m2).

Using the ray-tracing technique and elliptic integrals (e.g. Rauch & Blandford 1994), we follow the photons from each accretion disc to a distant observer, and calculate the corresponding redshift of the photons and the resulting line profiles. The spins of BHs are both set to be a/M=0.998. Choosing some other values will not qualitatively affect our results. The Fe K$\alpha $line photons are assumed to be isotropically emitted in the frame moving with the accretion disc material, and the surface emissivity is given by the power-law $\epsilon_i(r)=\epsilon_i^0r^{-p}$ for the region $r^{\rm in}_i\le r\le r^{\rm out}_i$. We adopt the averaged line emissivity exponent index of p=2.5 which is obtained from the fitting of Fe K$\alpha $line profiles for a sample of AGNs observed by ASCA (Nandra et al. 1997). We set the inner radius to be the marginally stable orbit $r_{\rm ms}$(few Fe K$\alpha $line photons come from the region inside the marginally stable orbit for Kerr BH with spin 0.998), and the outer radius $r_i^{\rm out}=
160Gm_i/c^2$ (the line profiles are not sensitive to the value of $r_i^{\rm out}$ since most line photons come from the inner region for a typical line emissivity law with p=2.5). An example of the resulting spectral line is shown in Fig. 1, for discs with inclination angles $\theta _1=60^{\rm o}$and $\theta _2=5^{\rm o}$, and $\epsilon_2^0/\epsilon_1^0\sim m_2/m_1\sim 0.6$. This unusual line profile is double-peaked, asymmetric and has two "edge''-like feature. The peak with the smaller central energy, near the rest frame energy of Fe K$\alpha $line - 6.4 keV, (or less than 6.4 keV due to gravitational redshift for extremely low inclination disc), comes from disc D2 with a small inclination angle, has the characteristic features of emission from a relativistic accretion disc: a skewed red wing and a sharp "blue'' edge (note that the energy of the "blue'' edge is mainly determined by the inclination of a disc, and the red wing extent is sensitive to the inner radius of the line emission region). The peak with the smaller central energy is narrower than the broad component, which comes from disc D1 with a high inclination angle. If the spin of the BH m1 is smaller, the "narrow component'' can be even narrower. The "narrow'' component can be stronger or weaker than the broad component depending on the relative emissivity. Another important feature is that these two components should both have short-term variability of intensity and shapes on the timescale of 104 s, as suggested by the variation in some Seyfert galaxies (Iwasawa et al. 1996; Nandra et al. 1999). The variability maybe is related to some activity of X-ray flares above each accretion disc, and the variation patterns of the two line components can be totally different and unrelated with each other since they come from two different discs. All of the above features make it easy to distinguish the BBH model from the other alternative models producing a two-component line shape. Note that the disc precession due to the Bardeen-Petterson effect may also introduce some variability, which is proposed to be the reason of X-ray quasi-periodic oscillation phenomena observed in some bright objects (e.g. IRAS 18325-5926 and Mrk 766: see the discussion in Boller et al. 2001 and references therein). The precession frequency depends on the transition disc radius and can be used to constrain the BH mass (Boller et al. 2001). In a BBH system, this precession may introduce two unrelated quasi-periodic signals, which would be useful to constrain both of the BH masses. Detailed consideration of this variability in a BBH system is beyond the scope of the present paper.


  \begin{figure}
\par\resizebox{\hsize}{!}{\includegraphics{h3020f2.eps}} \end{figure} Figure 2: Fe K$\alpha $line combined profiles from TADs in BBHs. The exponent index of the emissivity law p is 2.5. In panels  a) and  b) $\epsilon ^0_2/\epsilon ^0_1=0.6$, $\theta _1=50^{\rm o}$ (dotted line), $60^{\rm o}$ (solid line), $70^{\rm o}$ (dashed line), but $\theta _2=5^{\rm o}$ in  a) and $\theta _2=20^{\rm o}$ in  b). In panels  c) and  d) $\epsilon ^0_2/\epsilon ^0_1=1.5$ (dotted line), 0.7 (solid line), 0.2 (dashed line), $\theta _1=60^{\rm o}$, but $\theta _2=5^{\rm o}$in  c) and $\theta _2=20^{\rm o}$ in  d).
Open with DEXTER

Not all of the emergent Fe K$\alpha $line profiles from TAD systems are so distinguishable from the profiles produced by only one disc. If the relative emissivity of the two discs is too small or too large, the component emitted from one accretion disc in TADs system will be drowned by the other. Only when $\epsilon^0_2/\epsilon^0_1$is about in the range 0.2-2 (or m2/m1 is in a similar range if luminosity is proportional to Eddington luminosity) will the line profiles from TADs be significantly different from the one emitted by a single BH-accretion disc system. If $\epsilon^0_2/\epsilon^0_1$is a little less than 0.2, the line profile may be misunderstood as a relativistic line from a single disc plus an absorption feature; and if $\epsilon^0_2/\epsilon^0_1$ is a little larger than 2, the line profile may be misunderstood as a relativistic line from a single disc plus a high ionization line (e.g. Fe K$\beta$ or Ni K$\alpha $ line). If the difference between $\theta _1$ and $\theta _2$ is too small, the two line components will be blended, and thus difficult to distinguish from the profile produced by a single BH-accretion disc system. The line profiles in TAD systems can be very complicated with double peaks, three peaks and even four peaks depending on the inclination angles of the two accretion discs and the relative emissivity (Fig. 2). When $\theta_1\sim45^{\rm o}$- $70^{\rm o}$and $\theta_2\sim0^{\rm o}$- $20^{\rm o}$, the emergent line profile will clearly exhibit two distinct components (see Fig. 2; note that the line from a disc with very high inclination angle (say, > $70^{\rm o}$) may be strongly affected by the limb-darkening effect of the outer layer of accretion disc). If the inner disc is somewhat ionized, or the emissivity law is somewhat different, the line profile should remain similar. The probability that the combined line from two randomly oriented equal discs is in the shape similar to those shown in Fig. 2, is about 20% (the difference between the inclination angles is larger than  $30^{\rm o}$and both the disc inclination angles are not larger than  $70^{\rm o}$). The amounts of AGN sources expected to harbor BBH systems with comparable BH masses, which could be identified by Fe K$\alpha $line profiles, are relevant to the process of structure formation and the merger history of galaxies.

The line shapes from the TAD systems shown in Figs. 1 and 2 are examples chosen from many idealizations. We have neglected such complication as the actual dynamics of the system, the possible warp of the outer disc, the ionization of the accretion discs, the real line emissivity law, contamination from non-disc emitters, the irradiation of one disc by the X-ray photons from the other, and the absorption of intervening gas and dust etc. The complication certainly affects the line profile quantitatively, but will not make much difference qualitatively.

4 Differentiating the BBH model from other possible models

There are other possible models that can produce two-component line profiles, but they are not difficult to differentiate from the BBH model.

First, off-axis X-ray flares above a single disc can strongly affect the line profiles (off-axis-flare model; cf. Yu & Lu 2000). In Sect. 3, the disc emissivity is assumed to be axisymmetric. In reality, X-ray flares can be off the disc rotation axis and the emissivity law of the disc is non-axisymmetric because the disc region just under the flares generally receive more illumination. Thus, the non-axisymmetric emissivity may strongly affect the Fe K$\alpha $line profiles since different energy parts of Fe K$\alpha $line profiles stem from different regions of a disc. For example, a cold accretion disc is illuminated by two local flares: one is atop the approaching side of the disc, where the energy of Fe K$\alpha $line photons are blue shifted by Doppler effect; and the other is atop the disc region towards or backwards us which corresponds to the line emission around 6.4 keV. This situation can make line shapes like the one from TADs. The X-ray flares are probably produced by some thermal instability in the disc or magnetic reconnection and their locations should be randomly distributed. The appearance of the line profile arising from flares can be very complex. However, the average line profile over several flares should be consistent with the profile from a single disc (with a single inclination angle), as suggested by the observations of MCG-6-30-15 (Iwasawa et al. 1996; Iwasawa et al. 1999), which is quite different from the combined line profiles from TADs.

Second, a two-component line shape can be produced if a narrow line component is emitted from a molecular torus or broad line region (BLR) clouds, and a broadened line component is emitted from the inner region of a highly inclined accretion disc (BLR/Torus-AD model, cf. Yaqoob et al. 2001). In this scenario, the central energy of the narrow component should be around 6.4 keV or a little blue-shifted by the outflow motion, and the line width caused by the velocity dispersion of the clouds should be several thousand  ${\rm\,km~s^{-1}}$ [*]. In contrast, in the BBH model, the "narrow'' component is redshifted to energies less than 6.4 keV if the inclination is very low (due to gravitational redshift). With higher inclination, the narrow component is centered around 6.4 keV or higher, but with a large width. More importantly, in the BLR/Torus-AD model, the narrow component should remain constant on the timescale of several days or more (the light-travel time across the BLR or the torus) rather than varying on timescales <104 s, as predicted by the BBH model.

Third, a two-component line shape can also be produced by the combination of a broadened iron line from a highly inclined accretion disc plus a component which is scattered into our line of sight by an efficient electron-scattering material (Scatter-AD model, cf. Wang et al. 1999). It is unlikely that this electron-scattering material is close to the disc because this configuration is unlikely to produce a line with two distinct components: first, the scattered line component shape will be different from the one observed from a disc with a small inclination angle; second, Fe K$\alpha $photons from the inner accretion disc cannot be seen directly because the disc is covered by the scattering material. If the scattering layer is high enough above the disc, the scattered line profile would be somewhat like the one observed at a small inclination angle; however, the covering factor would normally be small and the equivalent width of this component should therefore be much smaller than the broad one since the scattered photons are redistributed in all directions. In contrast, in the BBH model, the equivalent width of the "narrow'' component can be larger than that of the broad component. Furthermore, the temporal variations of the two components in the Scatter-AD model must be strongly correlated with a time delay which reflects the distance between the scattering material and the disc.

5 Prospects

To use Fe K$\alpha $profiles to identify a BBH with TADs, we need to resolve both the narrow component and broad component of the line profiles and study the variation of the line profiles and intensity with time. Over the past decade, a number of Seyfert galaxies and QSOs have been shown to have broad Fe K$\alpha $lines (Nandra et al. 1997; Yaqoob & Serlemitsos 2000). The Fe K$\alpha $line profile of NGC 4151 is fitted by two disc components with inclinations of $0^{\rm o}$ and $58^{\rm o}$better than by a one-disc line model (Wang et al. 1999). The component with inclination $0^{\rm o}$ was explained by being scattered into our line of sight; however, those two components can also be explained as coming from possible TADs. Future observations with higher resolution are needed to check if NGC 4151 is a possible BBH candidate. The unique Fe K$\alpha $line profile in Mrk 205, consisting of a broad and a narrow component, is recently revealed by XMM-Newton (see Fig. 2 in Reeves et al. 2001). This observation is explained by that the narrow component comes from neutral matter at a large distance from a central BH and the broad one is emitted from a highly ionized relativistic accretion disc in Reeves et al. (2001). While, the resembling of this observed line shape and the line shape established in Fig. 1 have raised our interest to give an alternative explanation to the line emission mechanism, i.e., the observed line may be emitted from a BBH system. Indeed, the broad component can be fitted by an accretion-disc line with a high inclination angle (Reeves et al. 2001). Unfortunately, the narrow component is not fully resolved. To determine whether this object is a BBH candidate or not, further observations are needed to check whether the narrow component is asymmetric and exhibits short-term (e.g. $\sim$104 s) variability, which are the characteristic signatures of lines emitted from the inner regions of the two discs in a BBH system. Stimulated by those special line shapes observed in some objects, we believe that some BBHs in AGNs, if any, can be identified by searching the unusual iron line profile with current and future X-ray satellites, such as XMM-Newton, Constellation-X and XEUS. If any one of AGNs is revealed to have the typical line shapes shown in Fig. 2 as well as short-term variability (e.g. $\sim$104 s), it will provide one of the strongest lines of evidence for the existence of BBHs and a laboratory to investigate the dynamics in strong gravitation field (e.g. the Bardeen-Petterson effect). The precession of the two discs could introduce two un-related quasi-periodic signals in the X-ray continuum emission, which would be useful to constrain both of the BH masses. Detection of binary black holes will also enable us to investigate the merger history of galaxies, the probability of surviving BBH systems and maybe also the black hole growth history.

Acknowledgements
We are grateful to Scott Tremaine for a careful reading of an early draft with many insightful comments and suggestions. We thank Jeremy Goodman and David N. Spergel for helpful discussions, and our referee, Thomas Boller, for helpful comments. YL acknowledges the hospitality of the Department of Astrophysical Sciences, Princeton University.

References

 


Copyright ESO 2001