next previous
Up: On the origin of the O and B-type stars with high velocities


  
Appendix A: Distribution of differences

In this appendix we record the distribution of the difference between two observables, each of which has a Gaussian error distribution. We define two observable quantities, x1 and x2, which are both distributed normally, $G_1(x_1;\mu_1,\sigma_1)$ and $G_2(x_2;\mu_2,\sigma_2)$, respectively, where $\mu_1$ and $\sigma_1$are the mean and standard deviation of G1, and $\mu_2$, $\sigma_2$for G2. We define $\Delta = \vert\hat{x}_1 - \hat{x}_2\vert$ as the absolute difference between the observables, where $\hat{x}_1$ and $\hat{x}_2$ are the measurements of x1 and x2. We calculate the distribution of the difference, $F(\Delta)$, in the one- ( $F_{\rm 1D}(\Delta){\rm d}\Delta$), two- ( $F_{\rm 2D}(\Delta){\rm d}\Delta$), and three-dimensional ( $F_{\rm 3D}(\Delta){\rm d}\Delta$) case. In all cases we took $\mu_1 = 0$ and $\mu_2 = \mu$ and $\sigma_1 = \sigma_2 = \sigma$. The former simplification is harmless since only the difference $\mu_1 -
\mu_2$ is important. The results are:


 
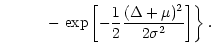
$\displaystyle F_{\rm 1D}(\Delta)$ = $\displaystyle \!\frac{1}{\sqrt{4 \pi \sigma^2}}
\left\{ \exp \left [ -\frac{(\Delta+\mu)^2}{4 \sigma^2} \right ]
\right.$  
  $\textstyle \phantom{=}$ $\displaystyle \qquad\quad \left.
+ \exp \left [ -\frac{(\Delta-\mu)^2}{4 \sigma^2} \right ] \right \}$ (A1)


 \begin{displaymath}F_{\rm 2D}(\Delta) = \frac{\Delta}{2 \sigma^2}
\exp \left [...
...^2} \right ]
I_0 \left (\frac{\Delta\mu}{2\sigma^2} \right ),
\end{displaymath} (A2)

where I0 is a modified Bessel function of order zero, and
 
$\displaystyle F_{\rm 3D}(\Delta)$ = $\displaystyle \frac{\Delta}{2 \sqrt{\pi} \sigma \mu}
\left \{
\exp \left [
-\frac{1}{2}\frac{(\Delta-\mu)^2}{2\sigma^2}
\right ] \right.$  
  $\textstyle \phantom{=}$ $\displaystyle \qquad\quad - \left.
\exp \left [
-\frac{1}{2}\frac{(\Delta+\mu)^2}{2\sigma^2}
\right ]
\right \}.$ (A3)

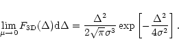
Applying L'Hospital's rule we calculate the limit of $F_{\rm 3D}$for $\mu \rightarrow 0$:

\begin{displaymath}\lim\limits_{\mu \rightarrow 0} F_{\rm 3D}(\Delta){\rm d}\Del...
...gma^3}
\exp \left [
- \frac{\Delta^2}{4\sigma^2}
\right ].
\end{displaymath} (A4)

Figure A1 and Eqs. (A.2) and (A.3) show that for the two- and three-dimensional cases there is a zero probability of measuring the same value for x1 and x2, i.e., $\Delta = 0$.


next previous
Up: On the origin of the O and B-type stars with high velocities

© ESO 2001