![]() |
Figure 1:
a) A contour plot of the z component of the perturbed velocity, vz, at t=20.2, with
|
| Open with DEXTER | |
![]() |
Figure 2:
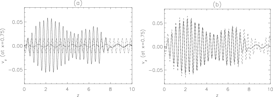
a) A cross-section of the z component of the perturbed velocity, vz, at x=0.25 and t=20.2, with
|
| Open with DEXTER | |
![]() |
Figure 3:
a) A contour plot of the z component of the perturbed velocity, vz, at t=38.2, with
|
| Open with DEXTER | |
![]() |
Figure 4:
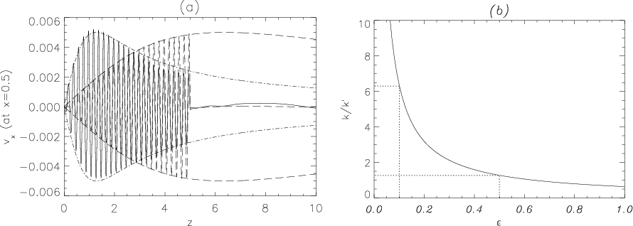
a) A cross-section of the z component of the perturbed velocity, vz, at x=0.5 and t=90.2, with
|
| Open with DEXTER | |
![]() |
Figure 5:
a) A cross-section of the z component of the perturbed velocity at x=0.5 and t=21.6, with |
| Open with DEXTER | |
![]() |
Figure 6:
a) A cross-section of the x component of the perturbed velocity at x=0.5 and t=50.2, with
|
| Open with DEXTER | |
![]() |
Figure 7:
a) The variation of the (squares of) the fast (solid line) and slow (dashed line) wavenumber, given by Eq. (33), as a function of the driving frequency |
| Open with DEXTER | |
![]() |
Figure 8:
a) A normalised cross-section (at constant height) of the x component of the fundamental fast (solid) and slow (dashed) modes. b) Profiles of
|
| Open with DEXTER | |
![]() |
Figure 9:
a) A cross-section of the x component of the perturbed velocity at x=0.75 and t=20.2, with
|
| Open with DEXTER | |